本开源程序主要针对市场上热门的电 动汽车用内置式永磁同步电机基于查询表 的矢量控制算法,自动生成满足 MTPA(最 大转矩电流比)/MTPV(最大转矩电压比) 的 dq 轴电流参考值查询表。程序使用 m 脚 本文件编写,将生成的查询表以 C 语言二维 数组的形式输入到 txt 文本文件中,可直接 复制到应用程序中,避免工程师对数据进行 二次提取。详细数据输入到 excel 表格中, 可供分析使用。
目前比较常用的永磁同步电机矢量控 制方法主要包括两种,一种是查询表法,一 种是基于输出电压反馈的弱磁控制方法。弱 磁控制方法在使用中容易出现输出过流现 象,尤其在高速弱磁,电池电压较低的时候 系统稳定性较差。
基于查询表的控制方法,需要提前生成 满足 MTPA/MTPV 控制的 dq 轴电流查询表, 使用时只需根据当前电机转速、电池电压、 输出转矩查询得到 dq 轴电流参考值。
本开源程序自动生成查询表的方法已在某型电动汽车上得到实际应用,具备工程 产品应用价值。

图 1 基于查询表法的永磁同步电机矢量控制框图
基于转子 dq 旋转坐标系的永磁同步电 机模型可以用以下方程来表示:
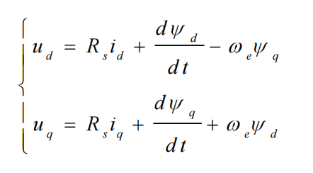
电压方程:

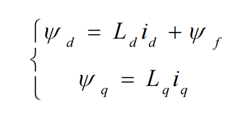
磁链方程:

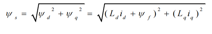
定子磁链(Wb):

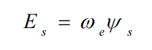
反电势方程:

电磁转矩:

永磁转矩:

磁阻转矩:

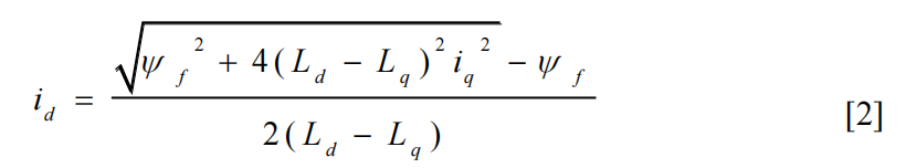
最大转矩电流比 MPTA 曲线方程:

最大转矩电压比曲线方程:

最大转矩电流比 MTPA 曲线、电流极限 圆、最大转矩电压比 MPTV 曲线以及横坐标 轴所包围的蓝色区域即为永磁同步电机的 工作区域,即为本开源程序生成的查询表区 域。开源程序核心为式[1]、[2]、[3],具体 代码位于 Map.m。
程序使用方法:
(1)打开 matlab,运行 MTPAMPTV.m,弹出以下界面。

(2)根据界面提示依次填入相应参数, 然后点击“查询表生成”按钮。

(3)生成过程中,会自动绘制电机 Map 图,其中蓝色区域即为电机最优工作区域。

(4)查询表结束后,matlab 命令窗口 会弹出提示信息。

(5)excel 表格中存储了分别按转矩顺 序和转速顺序存储了电机最优工作区域的所有数据。

(6)txt 文本中分别存储了 dq 电流查询 数据,数据以 c 语言二维数组的形式表示, 可直接复制使用。


以示例参数为例,生成的查询表为 77 行, 39 列。列对应电机转矩,0 到最大转矩 190Nm,步长 5Nm,第 1 列为 0Nm 查询数据, 第 39 列为 190Nm 查询数据。行对应电机转 速,第 77 行为最高转速 10000rpm,以 100rpm 为步长,则第 1 行为 2400rpm。查询表的下 限为 2400rpm,是因为 2400rpm 以下的查询 数据都可以按照 2400rpm 处理,即低速区电 机无需弱磁,因此查询数据相同。最低查询 转速由程序自动确定。
(7)查询表的使用。使用时根据电机转速、电池电压和输出转矩分别在查询表中按 照线性查表法查询对应的 dq 轴电流即可。 高速时忽略定子电阻的影响,可将转速折算为
这样,只需要一个电压等级下的查询表,就可以满足全电池电压范围的查 询需求。


学习
不错不错,值得学习
收获很大
不错
不错
棒棒棒
感谢分享
一般实际项目都是电机都要台架专门标定的。
这里面其中有两个问题:① D Q 轴电感数据,一般电机厂家是不提供的;②不同电压平台并不能直接做线性折算,在实际标定中一般会取到标称电压附近(欠压点-过压点)的6个以上电压点,再做对于未取到的中间电压段再做线性查表
谢谢分享
👍
很详细,不错。
谢谢分享
谢谢
爱学习
不错
不错的
👍