-
-
基于AMESim的热泵空调低温制热系统设计及仿真
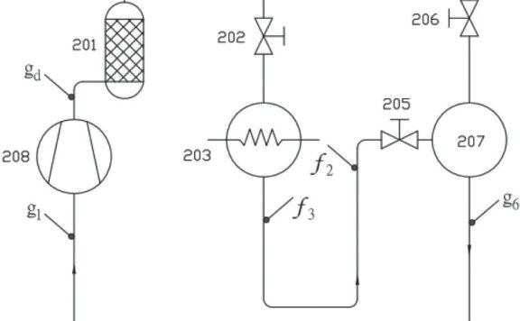
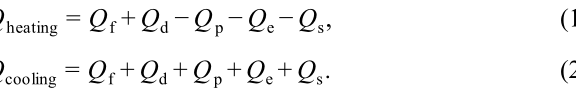
摘要:针对纯电动汽车热泵空调系统在冬季低温潮湿环境下制热能力不足、换热器出现结霜现象等问题,提出了一种新型热泵空调制热系统。该系统将电机余热回收用于提升热泵空调的制热性能,抑制换热器结霜现象的发生,同时使用PTC加热器耦合制热,使得空调系统可以在更低的环境温度下正常工作。首先运用AMESim软件搭建电机散热循环系统仿真模型对电机余热的利用价值进行分析,得到电机余热在电机频繁以中高转速运行的工况下具…- 889
- 0
-
电子膨胀阀用于电动汽车热泵系统的实验研究
[摘要] 以R134a 电动汽车热泵空调系统为研究对象,在不同压缩机转速和室外环境温度下,实验研究了电子膨胀阀开度对热泵系统性能的影响规律。结果表明:在不同压缩机转速和室外温度下调节电子膨胀阀开度,压缩机吸排气特性变化趋势一致。随着电子膨胀阀开度的增加,压缩机吸气压力缓慢上升,吸气温度基本维持不变,而排气压力先增加后减小,排气温度显著降低。压缩机转速为2 000 r/min 和3 000 r/mi…- 406
- 0
-
基于试验探究热力膨胀阀与同轴管对空调系统制冷效果的影响
【摘要】汽车空调系统(Heating ventilating air condition)主要是为车内提供制冷、制热、通风等功能,其构成包含压缩机、空调管路、冷凝器、空调箱、空调风道等组件。膨胀阀(安装在空调箱内)、空调管路(制冷剂运输媒介)是影响汽车空调制冷性能的两个最大因素,体现在膨胀阀限制流过蒸发器的制冷剂流量,空调管路运输制冷剂到各个空调部件,以此达到制冷剂通过管路进入蒸发器与空气换热给乘…- 667
- 1
-
小鹏、比亚迪、理想、特斯拉热管理系统介绍
提到热管理,对于大多数人而言,第一反应就是车内空调使用感受。然而对于整车而言,除了车内空调的使用,还包括对高压系统的加热保温或是散热降温,以及前挡风玻璃的除雾加热等等。 它就像汽车的贴心保护者,静静的管理车上各零部件的温度状态,让部件尽可能处在一个舒适的温度环境,保持零部件的最佳性能发挥,间接的影响车辆的动力性和经济性的优秀表现。 下面来看看各主机厂车型的热管理系统。 01 .小鹏P7的热管理…- 1.1k
- 0
-
热泵型热管理系统整车制冷剂充注量标定方法研究
[摘要] 为保证新能源汽车空调系统高效运行,提升整车续航里程,本文研究多种运行模式下新能源汽车热泵空调系统制冷剂充注量,采用实验测试与理论计算相结合的方法,通过搭建可视化的充注量测试台架,对基于某电动汽车实车的三换热器空调热泵空调系统进行了研究。在标准焓差室中基于新能源汽车空调的典型工况,通过测量不同充注量下系统关键温度压力参数,对不同工况下吸排气压力、过冷过热度等系统关键性能进行分析。实验结果表…- 905
- 0
-
电动汽车空调压缩机带液制冷特性研究
摘要:为研究转速变化与长时间吸气带液对电动汽车空调压缩机制冷性能的影响,本文使用依据制冷剂气体冷却法设计的压缩机性能试验台架在两种不同吸气带液工况下对转速范围(800~8 500)rpm 的电动涡旋压缩机制冷性能进行测试,并比对了其在转速8 500 rpm 的300 h 不停机连续运行带液耐久试验前后性能变化。结果表明:同一工况下,制冷量随压缩机转速升高呈近线性上升,制冷性能系数随转速升高先增大后…- 635
- 0
-
纯电动汽车非热泵型整车热管理系统的控制方法
摘要:基于V字形开发模式,开发了满足整车热管理需求的非热泵型整车热管理系统,取得了良好的改善效果。在此系统中采用了低温下的电机余热利用等改善措施,与目前电动汽车普遍采用的PTC电加热方式(不带电机余热)相比,能够显著地增加电动汽车低温续驶里程。 随着纯电动汽车越来越普及,使用过程中的诸多问题也逐渐暴露出来,高低温环境下的续驶里程衰减是当前用户的一大痛点。与传统燃油车相比,纯电动汽车的主要动力总成系…- 448
- 0
-
电动汽车热泵系统低温工况的制热性能实验研究
摘要:为研究低温时电动汽车热泵空调系统的制热性能,本文通过搭建空气源热泵空调系统实验台,实验研究了电动汽车热泵空调系统在环境温度为-10~0 ℃的低温工况下的制热性能,分析了压缩机转速(2 000~5 000 r/min)、HVAC总成进风量(300~400 m3/h)和环境温度对该热泵系统性能的影响,最后通过推导公式,估算电动汽车在使用空调系统后的续航里程。实验结果表明:随着压缩机转速的增加,压…- 527
- 1
-
新能源汽车热管理系统发展趋势
2023年中国新能源乘用车渗透率已达到31.6%,电动化推动热管理市场规模持续增长,且新能源热管理的技术和市场发展均处于前期阶段,中国新能源的规模优势和市场迅速扩张,国内优质热管理企业的发展潜力和国产替代空间巨大。 1、新能源汽车热管理系统概述 新能源汽车发展过程中,热管理技术的研究占据了举足轻重的地位。新能源汽车热管理系统主要包括空调热管理系统、电机和电控冷却系统以及电池热管理系统三大部分,是电…- 621
- 1
-
纯电动汽车热泵型整车热管理系统开发技术研究
近年来,随着国内外的纯电动汽车产品越来越 普及,各方面的技术逐渐成熟,消费者逐渐接受了纯 电动汽车,销量有了很大的提升,而且2019年纯电动乘用车销量占当年新能源乘用车销量的80.5% 。但是,随着用户的增加,使用区域也逐渐遍布热带、温带、寒带和极寒等地区,各种气候环境导致的使用过程中的诸多问题也逐渐暴露出来,高低温环境下续驶里程衰减严重和快充时间大大延长是当前纯电动汽车用户诸多痛点中的两大痛点 …- 538
- 0
-
R1234yf 新能源汽车热泵空调系统实验研究
【摘要】 R1234yf 是R134a 理想替代制冷剂之一,为研究R1234yf 系统制冷和制热性能,搭建了新能源汽车热泵空调实验台架,通过实验对比研究了R1234yf 系统与R134a 系统的制冷和制热性能差异。实验结果表明:制冷工况下,R1234yf 系统的制冷量和COP 均低于R134a 系统;制热工况下,R1234yf 系统与R134a 系统制热量相当,COP 低于R134a 系统,在低温…- 350
- 1
-
电动汽车热管理控制策略开发及实验研究
[摘 要] 本文以某混合动力车为研究对象,通过仿真计算了持续高速和交替爬坡两种大功率输出工况下电池的散热量,开发了空调和电池冷却并联式集成热管理系统的双目标温度压缩机控制策略,采用整车环模测试的方法,分析了夏季两种电池高发热工况下开启和停止压缩机电池冷却功能时电池的温度变化。实验结果表明:双目标控制策略稳定有效,在100 min内实现了车内降温和电池冷却的双重工作目标;在夏季电池高功率输出工况下,…- 549
- 1
-
混合动力汽车热管理开发研究
摘要:针对某款搭载串并联式混合动力系统的汽车,开展热管理开发及相关研究。文章首先结合混动总成系统热管理参数需求,设计开发了一台热管理系统方案;其次依据热管理关键工况,提取和分析得到了各散热单元的进风量;然后对该方案下的热管理性能进行仿真分析,发现该方案存在高温散热单元和油冷器进风量不足、布局不佳等缺陷,导致高温散热单元和油冷器温度分别高于目标值1.5 °C和3.8 °C;最后结合风扇和散热单元布局…- 446
- 1
-
碳中和背景下新能源汽车热管理系统研究现状及发展趋势
在制冷领域, 自从《基加利修正案》签订并实施以来, 削减当量碳排放、有效延缓全球变暖成为制冷行业最热门的话题. 而国际制冷学会的调研指出, 全球制冷行业造成的当量碳排放(或全球变暖效应)中37%来自各种含氟制冷剂的泄漏, 另外63%来自运行过程的电能消耗. 这意味着, 削减制冷行业当量碳排放只存在两条基本路线: 强温室效应制冷剂的替代与制冷系统能效的提升.- 225
- 1
-
热管理系统
❯
个人中心
今日签到
有新私信
私信列表
搜索
客服
扫码打开当前页

扫码关注
返回顶部
幸运之星正在降临...
点击领取今天的签到奖励!
恭喜!您今天获得了{{mission.data.mission.credit}}积分
我的优惠劵
-
¥优惠劵使用时效:无法使用使用时效:
之前
使用时效:永久有效优惠劵ID:×
没有优惠劵可用!


















