文章来源:半导体器件
作者:徐建清1,高勇1,2,杨媛2,孟昭亮1,文阳2,张乐1( 1. 西安工程大学 电子信息学院,西安 710000;2. 西安理工大学 自动化与信息工程学院,西安 710000)
摘要: 近年来基于 SiC 和 GaN 的宽禁带半导体器件开始逐渐替代传统的 Si IGBT 器件,而面对高的开关速度所带来的问题,宽禁带半导体器件的开关特性分析以及驱动电路的设计在系统可靠运行方面显得尤为重要。以 SiC MOSFET 模块 C2M0280120D 为例设计了一款驱动电路,并在双脉冲测试平台对驱动电路进行了验证,同时分析了不同栅极驱动电阻对 SiC MOSFET 开关特性的影响。比较了传统 Si 器件和 SiC 宽禁带半导体器件在静态特性和开关特性上的差异,以分析SiC MOSFET 驱动与传统 Si IGBT 驱动的区别。最后验证了所设计的驱动电路能保证驱动速度和栅极电压需求,并通过栅极电阻改变开关特性。
关键词: SiC MOSFET; IGBT; 驱动电路; 栅极驱动电阻; 双脉冲测试
0 引言
SiC 宽禁带半导体器件经过 20 多年的研究与发展已经开始逐渐替代传统的 Si 基半导体器件[1]。SiC 材料具有禁带宽度高、饱和电子漂移速度高、临界电场击穿强度高、介电常数低和热导率高等特性[2-5],因此基于 SiC 材料的电力电子器件阻断电压高、工作频率高且耐高温能力强,同时又具有导通电阻低和开关损耗小的优势[6-9]。目前,商用的SiC 半导体器件有 SiC 肖特基二极管、SiC 结型场效应晶体管 ( JFET) 和 SiC MOSFET 等。
然而,SiC 等宽禁带半导体器件在提高系统开关频率的同时,也带来了严重的开关振荡和过冲电压等问题。如何在开关时有效地抑制振荡等负面影响成为近年来电力电子研究的热点,SiC 器件的驱动在这方面起到关键作用。可以在关断时通过连接到负压的晶体管来抑制栅极电压的振荡[10]; 也可以采用光耦隔离的驱动电路,并通过并联电容来抑制栅极电压振荡[11]; 还可以通过增加推挽结构来实现复杂驱动功能[12]。除了驱动结构,驱动电压和温度等因素也都能改变驱动效果,SiC MOSFET导通电阻的温度系数与栅极驱动电压 ( VGS ) 存在着特定关系,VGS较低时为负温度系数,随着VGS增大,温度系数为正[13-16]。针对 SiC MOSFET的开关特性和开关电压,本 文 以 CREE 公 司 的SiC MOSFET 模块 C2M0280120D 为例设计了一款驱动电路,并运用双脉冲测试平台,对驱动电路进行了验证,然后对器件的开关特性进行测量,并分析了不同驱动电阻对开关特性的影响。最后为了更好地分析 SiC MOSFET 的特性,比较了传统 Si IGBT 和 SiC MOSFET 在静态特性和开关特性上的差异。
1 SiC MOSFET 驱动设计
1. 1 驱动电路设计原理
SiC MOSFET 与 Si IGBT 都属于电压控制型器件,其开通特性也与 Si IGBT 类似,在开通和关断的过程中,驱动电路必须对寄生电容进行快速充放电。图 1 为 SiC MOSFET 开通和关断波形,图中 VDS为漏源电压,ID 为漏极电流,VTH为触发阈值电压,t 为开关时间。通过对 SiC MOSFET 开关波形的分析可知,若要使 SiC MOSFET 正常地开通和关断,驱动电路需要合适的驱动电压和足够的栅极驱动电流; 触发脉冲的上升、下降速度要快; 尽可能小的驱动回路阻抗,开通和关断时要能对栅极电容进行快速充放电; 尽可能小的驱动回路寄生电感; 关断时能提供负压,防止器件误导通[17]。

SiC MOSFET 驱动电路的设计要点是驱动电压和开关速度。一般 IGBT 的驱动电压在±20 V 以内。但 C2M0280120D 的 1 200 V SiC MOSFET,其开启电压虽然只有 2. 5 V,但是只有当驱动电压到 16 V时,其才能完全开通,所以常规的 IGBT 驱动电路不能直接用来驱动 SiC MOSFET。另外,由于栅极电容的影响,在开关频率较高的场合下,必须充分考虑开关频率 ( fS ) 对栅极平均驱动功率 ( PAV) 的影响。PAV可以表示为[18]

式中: QG 为栅极总电荷量; ΔVGS为栅极驱动电压变化量 ( 栅极驱动正、负电压的差值) 。
1. 2 驱动电路设计
设计驱动电路时首先要考虑驱动电压和驱动功率。为了保证开关速度并防止 VGS被击穿,选择栅极开通电压为+20 V,关断电压为-4 V。采用金升阳公司的 QA2401C 电源模块获得所需电压,即方波电源经过整流后变为+24 V,再通过 QA2401C 得到所需的+20 V 和-4 V。QA2401C 的功率为 2 W,隔离 电 压 为 3 500 V,由 式 ( 1 ) 得 出 型 号 为C2M0280120D 的 SiC MOSFET 在 500 kHz 频率下工作时所需的栅极平均驱动功率约为 0. 49 W,所以该电源模块满足需求。

采用 IXDN609 型驱动芯片,其输出电压范围较宽,为 4. 5 ~ 35 V,驱动能力比较强,峰值驱动电流可以达到 9 A,输出电阻约为 0. 6 Ω。为了实现控制信号与主功率回路的隔离,采用 Avago 公司的 HCNW2611 型光耦隔离芯片,电路如图 2 所示。根据以上分析设计得到的栅极驱动电路框图如图 3所示。为了防止驱动电压过高或过低给 SiCMOSFET 栅源极造成损坏,在输出端加了 2 个限幅二极管。同时为了防止栅极过压,添加了 2 个箝位二极管。在光耦芯片和驱动芯片间加入一个与非门,使栅极电压在未接收到触发信号时保持负压。
1. 3 驱动实验及结果分析

图 4 为双脉冲测试平台原理图[19],图中 U 为母线电压,L 为电感负载,t1 和 t3 分别为双脉冲第一、第二个脉冲的时间,t2 为间隔时间,ID 在实验中利用罗氏线圈测量。该平台用于测试所设计的驱动电路,选择 C2M0280120D 型 SiC MOSFET。二极管为 CREE 公司的 C4D02120 型 SiC 肖特基二极管,反向截止电 压 VR = 1 200 V,额定导通电流IF = 10 A,导通压降 VF = 1. 6 V。测试提供母线电压 600 V,t1 和 t3 分别为 32 和 10 μs,t2 = 10 μs,ID = 6. 5 A。
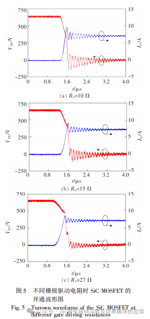
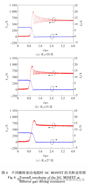
栅极驱动电阻 ( RG ) 的大小直接影响着 SiC MOSFET 开关时间的长短,RG 小则开关时间短,RG 大则开关时间长。但是如果 RG 过小,开关速度过快,会造成驱动回路驱动电压和主回路电压、电流的振荡,对器件带来负面影响,情况严重时会损坏器件。因此选择合理的 SiC MOSFET 驱动电阻显得尤为重要。本次实验中为了避免开关速度过快,同时又能得出理想的实验结果,分别取 RG 为 10,15 和 27 Ω。为了使实验的其他量保持不变,设ID = 6. 5 A,可以得到脉冲宽度 T,即

图 5 ( a) ~ ( c) 分别为不同栅极驱动电阻时SiC MOSFET 的开通波形图。从图中可以看出,随着RG 的增大,开通时间逐渐变长,电流振荡逐渐减小。

图 6 ( a) ~ ( c) 分别为不同栅极驱动电阻时SiC MOSFET 的关断波形图。从图中可以看出,随着 RG 的增大,关断时间逐渐变长,关断电压和电流振荡逐渐减小。

2 SiC MOSFET 特性分析
2. 1 静态特性
根据 Si IGBT 和 SiC MOSFET 额定电压和额定电 流 相 同 的 原 则, 选 取 了 C2M0280120D 和FGD5T120SH 两种模块。表 1 是采取这两种模块的器件参数,表中 VCE,sat为饱和压降,IC 为集电极电流,θC 为模块工作温度,RDS,on为导通内阻。

图 7 ( a) 和 ( b) 分 别 为 C2M0280120D 型SiC MOSFET 和 FGD5T120SH 型 Si IGBT 在栅极驱动电压变化时的 I-V 输出特性曲线,图中 θj 为模块结温,tp 为单脉冲宽度,VGE为 IGBT 的栅极驱动电压。C2M0280120D 型器件的 I-V 特性曲线斜率在VGS> 16 V 之后变化较小,如图 7 ( a) 所示。而FGD5T120SH 型器件的 I-V 特性曲线斜率在 VGE >11 V之后变化也很小,如图 7 ( b) 所示。对于跨导而言,C2M0280120D 型器件的跨导 系数 ( gfs )小,沟道迁移率最低,此时为了使导通电阻低,必须使其驱动电压高于 18 V。同时,由于两种器件的跨导不同,FGD5T120SH 型器件的可变电阻区与恒流区有明显的拐点,而 C2M0280120D 型器件则没有。

图 8 为 C2M0280120D 型器件的 Ciss、Coss和 Crss随 VDS的变化曲线 ( 图中 VAC为该器件的交流电压) 。

图 9 为 FGD5T120SH 型器件的 Cies、Coes和 Cres随 VCE的变化曲线。图中 Ciss、Cies分别为 MOSFET 和 IGBT的输入电容,Coss、Coes分别为 MOSFET 和 IGBT 的输出电容,Crss和 Cres分别为 MOSFET 和 IGBT 的反向恢复电容。可以看出,Ciss >Cies,FGD5T120SH 型器件对 VGE的响应更快,开关速度更快,但驱动损耗小;Coss> Coes, Coes 储 能 更 小;Crss> Cres,FGD5T120SH 型器件的 VCE的米勒平台时间短,关断时电压随时间的变化率 ( dv/dt) 更大。

2. 2 开关特性
开关特性的比较也是基于上文的双脉冲测试平台,FGD5T120SH 型器件的驱动方案采用与上文类似的电路,只需将驱动电压改为开通+ 15 V 和关断-8 V。

图 10 ( a ) ~ ( d ) 分 别 为 FGD5T120SH 和C2M0280120D 型器件在栅极驱动电阻为 5 Ω、输出电流为 6. 5 A 时的开通、关断波形图。通过与图5、图 6 的 C2M0280120D 型器件开关波形对比发现: FGD5T120SH 型器件的开通曲线平滑,对于VGE反应速度更快,存在拖尾电流。C2M0280120D型器件存在开通延时并且电压、电流抖动严重的问题。

图 11 ( a) 和 ( b) 分别为 C2M0280120D 和FGD5T120SH 型器件的开通、关断延迟时间 ( td,on和 td,off ) 随栅极驱动电阻的变化曲线。从图中可以看出,两个器件的开通、关断延迟时间均是随着RG 的增加而不断增加。C2M0280120D 型器件的开通和关断延迟时间比 FGD5T120SH 型器件的长。

图 12 ( a) 和 ( b) 分别为 C2M0280120D 和FGD5T120SH 型器件的开通、关断损耗时间 ( tl,on和 tl,off ) 随栅极驱动电阻的变化 曲 线。C2M0280120D 型器件由于开通时电压、电流振荡导致其开通损耗的时间更长。而 FGD5T120SH 型器件由于其拖尾现象更严重,导致其关断损耗时间更长。

图 13 为 C2M0280120D 和 FGD5T120SH 型器件在 RG = 27 Ω 时,开通时的 IC 和 ID 随时间变化率( di /dt) 的变化。在双脉冲实验中,通过调整第一个脉冲时间宽度来调整输出电流大小。从图中可以看出,开通时,C2M0280120D 型器件的电流变化率比 FGD5T120SH 型器件的大。
3 结论
本文设计了一种 SiC MOSFET 的驱动电路,并且采用双脉冲测试电路进行验证,分析了不同栅极驱动电阻对器件开关波形的影响: 小栅极驱动电阻可以减小开关时间,但是开关电流振荡明显; 大栅极驱动电阻虽然开关时间长,但是开关电流振荡却小。所以在选择栅极驱动电阻时要同时考虑这两个方面。同时本文也通过对比 C2M0280120D 型 SiC MOSFET 和 FGD5T120SH 型 Si IGBT 的静态特性和开关特性,分析了 Si MOSFET 的特性,通过对比得出,C2M0280120D 型器件的跨导系数最小,沟道迁移率最低,为了获得低导通电阻,栅极驱动电压比 FGD5T120SH 型器件的高。C2M0280120D 型器件的开通延迟时间和关断延迟时间长,开通损耗时间更长,开通时 di /dt 也更大。FGD5T120SH 型器件的关断损耗时间更长,这是由于其关断时严重的拖尾现象导致的。综上所述,针对新型宽禁带半导体器件的驱动,可以从驱动电压、栅极电阻、开关延迟时间等参数上进行调整,从而在保证开关速度的情况下缓解振荡问题。本文所给出的驱动方案能保证驱动速度和栅极电压需求,并通过栅极电阻改变开关特性。

