摘要:损耗计算是影响开关器件使用寿命的重要因素,也是车载逆变电源设计开发过程的重要环节。本 文对传统的理论计算方法和试验计算方法进行梳理分析,提出了一种基于电力电子仿真的损耗计算方法。 以开关器件为 IGBT 的三相逆变拓扑为例进行损耗计算,并通过与上述两种计算方法进行比较,得出该方法 在简化计算过程,提升设计效率的同时,保证其计算精度的准确性。
关键词:车载逆变电源开关器件损耗计算
0 引言
为节省能源和降低含碳量(实现脱碳),需要高度高效的电力电子技术。车载逆变电源常使用IGBT、SiC、GaN 等功率开关器件。但一旦使用不当则会导致意想不到的不良效果或降低可靠性,严重时可能会因为市场不良反应导致召回。 其中尤为重要的是直接影响可靠性的热设计。一 旦发生问题,则可能会需要重新进行器件选型, 修改基板布局,重新进行散热设计等,从而导致 返工工时以及成本的大幅度增加。损耗计算作为 功率开关器件热设计过程中的重要环节,其计算的准确度直接影响车载逆变电源功率开关器件的 使用寿命和可靠性。
目前,主要的损耗计算方法有两种,一是基 于设计输入参数并结合经验公式的理论计算。该 方法需要对电气拓扑中的每一个开关器件的工作情况十分清楚,并对单个开关器件中的器件单元 (晶体管、二极管)进行详细的损耗计算。电气拓扑越复杂,开关器件的工作状态种类就越多, 再结合不同的控制方法,导致该方法的工作量巨 大且繁杂,并最终影响计算准确度。二是基于试验数据进行计算,该方法由于有实验数据的支撑, 可以简化很多分析过程,从而完成损耗计算,且精度较高。但该类方法需要先进性原理样机的开发并完成生产,且还要具备一定的试验条件,这会在很大程度上拖慢整个产品的开发进度,一旦损耗结果不理想,需要一系列的产品部件的返工设计。
综上所述,本文提出一种基于电力电子仿真 的损耗计算方法,在简化计算过程的同时,提高了计算精度及效率。对提升车载逆变电源的稳定性和可靠性具有重要意义。
1 理论计算方法
目前,关键功率开关器件损耗的理论计算方 法很多,例如傅立叶迭代法或者经验公式法等; 但在实际的产品开发中比较常用的是经验公式法,常在例如Infineon、ABB 及Semikron 等国际知名 开关器件制造厂家的应用指导中给出,其计算精度误差在 20%左右。
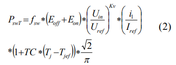
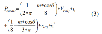
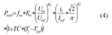
在车载逆变电源中使用的功率开关器件损耗 由四部分组成,以IGBT为例,分别为IGBT 和反并联二极管的通态损耗、IGBT 的开关损耗以及反并联二极管的反向恢复损耗。具体公式如下 所示:
IGBT 通态损耗:

IGBT 开关损耗:

反并联二极管通态损耗:

反并联二极管开关损耗:

总损耗:

公式(1)和(2)中 m 为调制系数;cosθ为功率因数;VCEOTj 为阀值电压;CETjr 为斜率电阻;1i 为电流有效值; swf 为开关频率;Eon 和 Eoff 分别为开通和关断能量;Uin 为电压有效值;Uref 为参考电压;kv 为电压校正系数; refI 为参考电流;TC 为散热器预设壳温;Tj 为预设结温;Tjef 为参考结温。
公式(3)和(4)中VFoTj 为二极管阀值电压;FTjr 为二极管为斜率电阻; Err 为反向恢复能量;ik 为电流校正系数。
2 试验计算方法
按照 IEC60747-8 的要求,搭建双脉冲试验台,原理如图 1 和图 2 所示:

图 1 和图 2 中的VGS (Q1) 为开关管 Q1 门级电压、L1I 为感性负载电流、D(Q1)I 为开关管 Q1 电流、VDS(Q1) 为开关管 Q1 的集电级电压、 D(Q2)I 为开关管 Q2 的反并联二极管续流电流。
在图 2 的测试电路中,开关管产生的损失有 开关损失和导通损失。理想的开关波形中,如图1 所示,VDS(Q1) 和VDS(Q1) 不会延迟,电压和电流会 垂直变化。这种状态下不会产生多余的电压和电流,所以不会发生损失。实际上由于寄生电阻和 寄生容量的影响会产生延迟,电压和电流波形会像图 3 那样以 ton、toff 的倾斜变化。这个倾斜部分的电压和电流重叠的部分是开关损失。
利用图 3 的波形数据,参照 IEC60747-8 中的 计算方法可以进行损耗计算。
3 仿真计算方法
本文在摘要部分已经论述了上述两种方法的 缺点,提出一种基于基于电力电子仿真的损耗计算方法。该仿真方法主要分为三个步骤,一是建立电气仿真拓扑;二是构建开关器件模型;三是建立损耗模型。

3.1 电气仿真拓扑
电气仿真拓扑目的是仿真出正确且所需的开 关器件输出特性,该特性是损耗计算的输入,对 其准确性有着至关重要的影响。本文以 IGBT 开 关器件的 PWM 三相输出控制拓扑为例,进行具体描述。

如图4所示,V_dc为电源直流母线电压 1500 V;L4 和 R4 分别为直流母线的虚拟阻抗,一般设定为 0.0025 mH 和 0.001 Ω;C1为支撑电容4300uF;IGBT1至IGBT6为开关器件,型号为采用Infineon公司的FZ1400R33HE4;L1至L3为感性负载 0.0035 mH;R1至R3为阻性负载 0.65 Ω。
如图 5 所示,采用 SVPWM 调制方法,开 关频率为 750 Hz。

通过图 4 中的输出波形示波器,输出三相交 流电压有效值为 1025 VAC,三相交流电流有效值为496 A,核算功率约为 880.5 kw。具体仿真波形如图 6、7 所示:

3.2 开关器件模型
由试验计算方法章节可知,损耗计算的原理 是开关器件的 VCE(集电极电压)和 IC(集电极 电流)相交所产生的面积。因此,开关器件模型的建立主要分两部分,一是静态(通态)特性曲 线,二是动态(开关)特性曲线,如图 8、9、10 所示:
上述是以 IGBT 为例,对于反并联二极管的模型搭建同理,不同之处在于二极管的开通损耗很低,一般不参与损耗计算。只考虑其静态损耗和关断引起的反向恢复损耗。数据可在开关器件厂家的数据手册中得到。

3.3 损耗计算模型
对于通态损耗和开关损耗虽然都采用平均值, 但具体的平均值计算模型不同。一种是周期平均值(Periodic Average),即在指定的平均时间 T上周期性地平均连续输入信号,输出则在每个平均周期结束时更新,适用于通态损耗计算。另一 种是周期脉动平均值(Periodic Impulse Average),即周期性地平均由一系列狄拉克脉冲组成的输入信号,输出在每个平均周期 T 结束时更新,适用于开关损耗计算。具体仿真拓扑如图 11 所示:

4 案例分析
结合 3.1 章节的电气拓扑及电气参数,对其 进行开关器件的损耗仿真,通过对图 12 中的环境热阻 Rth 设置,将散热器的结温 Tj 调节到125 ℃; 环境温度设置为 45 ℃。

如图13 所示,单个 IGBT 及续流二极管的损耗为 1038 W,逆变器总损耗为 6210 W。

利用理论计算法和试验计算法对上述电气拓扑和电气参数进行开关损耗计算,并与仿真计算法结果进行对比,理论计算法 7860,试验计算法 5980, 仿真计算方法 6210。
5 结论
理论计算法与试验计算法计算结果误差约为31.4%,而仿真计算法与试验计算法结果误差约 为 3.7%。试验计算方法精度与实际产品损耗最接近,但该类方法需要先进性原理样机的开发并完成生产,且还要具备一定的试验条件,这会在很大程度上拖慢整个产品的开发进度。
因此,本文提出的基于仿真损耗的计算方法, 在提高产品开发设计效率的同时,也确保开关器件损耗计算的计算精度。
本篇文章来源于: SiC碳化硅MOS管及功率模块的应用


积分不够,先收藏了,之后下载
学习了