摘 要:在当代智能电网背景下要求电能的分配具有智能化、合理化和经济化的优势的前提下,针对当前能源资源的损耗短缺与可再生新能源发电易受外部环境变化等因素影响的问题,电能的产生、储存和消耗之间的协同合作成为了新能源发电着重需要解决的问题。随着光伏发电规模的增加和市场对变换器高功率密度、高效率和高可靠性的要求,传统的两电平储能逆变器已无法满足要求。本文以高效率和高频化所带来的高功率密度作为切入点,对 T 型三电平三相逆变器进行研究与设计。
本次设计的主要研究内容分为以下几个方面:
首先,针对三电平逆变器拓扑结构进行了类比总结和分析,通过结构和控制方式两方面的指标选择采用 T 型三电平三相逆变器为主拓扑结构。针对 T 型三电平三相逆变器的工作原理和设计目标制定具体的设计指标。
其次,对 T 型三电平三相逆变器的工作原理进行分析,结合工程经验和设计成本,横向串联功率器件采用共射极连接方式。对其换流过程进行研究,确定空间矢量调制策略。以同步 Buck 变换器为例介绍桥臂串扰产生的原因和造成的危害,提出本论文的创新点,对改进型串扰抑制电路的工作原理进行详细的分析。
再次,制定 T 型三电平三相逆变器硬件电路的整体设计方案,根据系统功率值和直流侧电压值对功率开关器件进行参数计算,并结合拓扑工作原理和系统高效率的要求选择碳化硅(SiC)MOSFET 和 IGBT的型号。根据不同开关器件进行相应的驱动电路硬件设计,为抑制上下桥臂串扰问题,增加驱动抑制电路。为了实现逆变器的双闭环 PI 控制和系统及各器件芯片的供电进行电压电流采样电路和供电电路的设计。
然后,建立 T 型三电平三相逆变器的数学模型,设计双闭环 PI控制策略,并详细推导了电压外环和电流内环的传递函数,结合工程经验计算出各自 Kp 和 Ki 参数值。对 T 型三电平三相逆变器开环和闭环控制的空间矢量调制策略并结合中点电位平衡控制策略进行主程序和中断处理程序的软件设计。
最后,对 T 型三电平三相逆变器进行仿真和实验,通过实验平台测量输出侧相电压和线电压的波形验证空间矢量(SVPWM)调制策略的正确性,通过三相输出电压或电流波形验证硬件参数和电路设计的合理性。对提出的改进型抑制碳化硅(SiC)MOSFET 桥臂串扰的门极驱动电路在 LTSpice 软件上进行仿真,并搭建了同步 Buck 变换器电路进行双脉冲测试实验,仿真和实验结果表明提出的新型串扰抑制电路相比于传统和典型抑制电路来说,在不影响器件开关速度的前提下还能具有良好的抑制正负向电压尖峰的效果,验证本论文的创新点的优越性。
关键词:储能逆变器,T 型三电平,LCL 滤波,SiC MOSFET,串扰抑制
第一章 绪论
1.1 课题来源和选题的研究背景及意义
1.1.1 课题的来源
在目前国际贸易交流日益密切,经济全球化大繁荣的当代,中国乘坐着国家之间相互交流合作,经济快速发展的快车也在飞速发展。随着我国国际实力与地位的迅速提升和各行业相互交流蓬勃发展,能源问题已成为限制经济快速发展至关重要的因素。根据 2020 年原煤产量 38.5 亿吨来算,按照已探明的可采储量,同时不考虑每年新增的可采储量来看,仅可满足开采 30 年。我国煤炭储量的总体格局特点就是总的储存量较多,但是可供采储量相对较少。根据 2020 年统计的原油产量 1.91 亿吨,按照石油 39 亿吨可采储量,在不考虑每年新增的可采储量来算仅还可开采 19 年,相比于委内瑞拉、沙特阿拉伯和加拿大等石油大国来讲,我国石油储存量一直是处于“贫油”阶段。根据 2020 年天然气产量 1761.7 亿立方米,在不考虑每年新增的可采储量来算还可开采 36 年。我国天然气储存量总体水平处于“少气”地位,并且存在着“西气东输”的地理位置弊端。随着人民日益增长的物质文化需求,能源消费总量迅速上升,我国已经成为了超级消费大国。当前我国经济可持续健康发展的目标又同现阶段整体资源消耗量过大,人均资源量少,能源供需不匹配矛盾和能源利用率低下相冲突。随着传统不可再生资源的快速消耗和所带来的恶劣环境污染问题,人们迫切需要一种或者是几种新能源的快速发展来弥补传统能源的缺点,代替其提供较高的能源需求,因此,光伏发电得到国家的大力支持快速发展。
目前,在不影响经济快速发展的情况下,环境保护问题也在被国家和社会日渐重视,对于新能源技术的研究与设计也被提升到一个很迫切的高度。新能源的发展目前虽然拥有很多的机遇,却也面临着许多挑战,其中就包括新能源发电当中光伏发电和水力发电分别受到光照强度和季节的影响。储能逆变器就能很好的解决电能供应和消耗不匹配的问题。
1.1.2 研究背景以及意义
目前,新型电力电子变换器越来越向高频率化、体积小型化和低损耗高效率化发展,传统的两电平逆变器由于本身拓扑的局限性已经无法满足大功率设计要求。三电平逆变器由于拓扑本身的优越性在高开关频率下逆变产生的谐波含量较低,利于节省滤波器的设计成本。所以,三电平逆变器拥有着极其重要的研究价值和十分广泛的应用前景。多电平逆变器也同样具有很多优点:比如,交流输出侧多电平输出,输出电压谐波含量较少,所需滤波器的设计中滤波电感量较小,大大降低了系统成本和产品体积,功率器件的开关损耗较小,系统效率高,功率开关器件在开通或关断瞬间引起的电压变化率(dv/dt)小,产生的电磁干扰(EMI)较小。在三电平逆变器中,T 型三电平三相逆变器比 NPC 三相逆变器节省了 6 个高耐压二极管,大大降低了系统成本和体积;T 型三电平逆变器由于其具有一致的换流路径,使得开关损耗计算更加简单和散热分析更加容易;T 型三电平三相逆变器的控制中对控制时序没有像 NPC 三相逆变器那样的停机序列等问题,控制相对容易。
储能技术是智能电网中至关重要的环节,是智能电网关键技术支撑之一。储能技术的作用:
(1)提供短时供电
当系统正常工作时,微电网处于正常并网模式,当电网故障时,微电网将迅速动作转换为孤岛运行模式与电网脱离,在转换过程中会产生功率缺额,此时储能装置就能承担起模式转换过程当中能量的平稳切换作用来保障系统稳定性。昼夜日光差异大的光伏发电系统和风力间歇性的风力发电系统都会影响电能的输出,此时储能电池为用户持续地提供电能。
(2)削峰填谷
电网用电负荷的不断增加与当前经济的快速发展是密不可分的。负荷处于高峰时给电网的调峰调压带来了巨大压力,同时,用电负荷快速的变换也给电网的削峰填谷带来了不小的挑战。为了能满足用户对于电能的稳定要求,在用电高峰时有足够的电能供应,在用电低谷时电能能得到充分有效的利用,储能系统在这个环节发挥着至关重要的作用。储能系统可以在负荷高峰时将储存的能量迅速释放出来,在负荷低谷时将多余的能量充分储存起来备用,从而达到智能电网削峰填谷的作用。
(3)改善电能质量
近年来,人们对于生活质量的要求越来越高,许多工作单位的设备对于电能的质量要求也随之提高,储能逆变器作为架起电网系统和用户负载之间的桥梁发挥着至关重要的作用。储能逆变器在满足新能源发电系统稳定的同时提供有功和无功功率输出,保证电网电压和频率的稳定性以达到高电能质量的要求。与此同时,储能系统的动态过程还拥有给电网持续供电的能力,当电网处于系统故障的情况下,微电网系统处于孤岛运行模式,储能系统能维持系统的稳定供电功能。
当前,随着智能电网的发展和能源互联网的构建,功率开关管作为电力电子变换器的关键组成部分,其发展程度也决定着功率变换器的上限性能。目前,市场上主流的都是以硅材料半导体为基础的 MOSFET 和 IGBT 功率开关管,统称为硅基开关器件。由于硅基开关器件中硅材料本身特性的缺陷使其无法满足现在新型功率器件的新发展要求。比如,硅半导体的导通电阻较高且高工作电压相对较低的缺点,使得硅基功率半导体开关器件的开关损耗较高,从而使系统效率降低。另外,硅基半导体功率开关器件的禁带宽度和导热率相对较低,因而其最大耐压上限较低且无法长期工作在高温工况下。
为了改变当前硅基半导体功率器件无法满足新型变换器新要求的矛盾,学者们迫切需要一种新型材料来取代硅基半导体功率器件。因此,以碳化硅(SiC)为代表的第三代半导体功率器件以其优良的耐压能力强、低导通电阻、较宽的禁带宽度和优秀的导热率等特性被应用于高性能电力电子变换器中。在变换器的高电压和大功率要求下,碳化硅(SiC)材料与氮化镓(GaN)材料相比,拥有的优良耐高温特性使其在高频率变换器应用下更具优势。与硅基器件相比,作为宽禁带器件的碳化硅(SiC)功率器件的禁带宽度是硅基器件的 3 倍,击穿场强是硅基的10 倍,热导率是硅基的 2.5 倍。目前,碳化硅(SiC)MOSFET 功率器件是一种较为成熟且已部分投入商业化市场应用的宽禁带开关器件,其高击穿电压、高热导率和高开关频率等良好的特性在电力电子变换器中发挥着使设备实现高功率密度和高效性的积极作用。
尽管 SiC 功率器件有着上述的优良特性,其本身的缺点也是不可忽略的。比如,碳化硅(SiC)MOSFET 功率器件的开启阈值电压较低、栅源极耐压范围窄,特别是其负压承受能力相对于硅基半导体功率开关器件较小,极限值一般在-6~-10V 之间。由于目前的变换器大多数是具有桥臂结构的拓扑,这一特性将使得开关器件在较高开关频率的情况下桥臂电路中产生更为严重的串扰问题,与碳化硅(SiC)MOSFET 功率器件的优良特性相违背,严重影响碳化硅(SiC)MOSFET功率器件的正常稳定工作,无法满足系统的高效安全稳定运行。因此,研究一种简单准确快速抑制碳化硅(SiC)MOSFET 串扰驱动电路的需求迫在眉睫。
1.2 三电平逆变器国内外研究现状
1.2.1 国内外三电平逆变器拓扑研究现状
传统的两电平逆变器现在的应用水平已经十分的成熟,虽然其有着结构简单控制简便的优点,但是目前的电力电子变换器多数往高电压等级和高功率方向发展,桥臂上功率开关管的耐压要求也在提高,这无疑会给开关管器件的成本造成很大的压力。另外,由于两电平的输出,波形正弦化较低,波形质量较低,使得滤波器设计中电感的设计将会很大,造成体积和成本的增加,降低了系统的功率密度。三电平逆变器不仅提高了系统的高电压等级,又使得开关管的耐压等级选择不那么苛刻,而且由于逆变输出侧电压是三电平的,波形正弦化较好,波形质量较高,在逆变滤波器的设计中电感值相对于两电平较小,体积和成本大大降低,提高了系统的功率密度。目前,较为热门和应用比较成熟的三电平逆变器拓扑结构有以下三种:二极管钳位型三电平逆变器、飞跨电容型三电平逆变器、T 型三电平逆变器。

如图 1-1 所示为二极管钳位型三电平逆变器拓扑结构。该拓扑于 1980 年由日本学者 A Kira Nabae 提出,该拓扑结构是在直流母线电压两端串联四个功率开关管,通过两个高耐压二极管将中点电位钳位在 0 处。正常工作时,每个功率二极管只承受直流侧母线电压的 1/2,提高了变换器的电压等级和功率等级。但是,二极管钳位型逆变器容易产生中点电压不平衡的问题,而且高耐压二极管也会增加系统成本。

如图 1-2 所示为飞跨电容型三电平逆变器拓扑结构。该拓扑于 1992 年由T.A.Meynard 和 H.Foch 两位学者提出,该拓扑同样是在直流母线电压两端串联四个功率开关管,由两个相同的大钳位电容将中点电压进行钳位。正常工作时,每个功率二极管只承受直流侧母线电压的 1/2,电容的引入可以改善电压合成的灵活度,但是电平数的增多会使得控制变得复杂,而且在高功率应用场合下,大容量的钳位电容成本和体积都会增加,系统的功率密度降低。

如图 1-3 所示为 T 型三电平逆变器拓扑结构。该拓扑于 2007 年由 Conergy 公司的 knaup.P 工程师提出,该拓扑是在传统两电平逆变器的基础上添加两个等容值的电容和横向的两个功率开关器件组成双向开关,实现对桥臂上下两个开关管钳位的功能。正常工作时,桥臂上的开关管承受直流侧电压,中点钳位处的两个功率开关管由于分压电容的原因仅承受一半的电压。而且换流过程中也不用考虑电流方向,也无开关时序问题,给控制带来了便捷。
1.2.2 国内外三相逆变器调制策略和控制策略研究现状
目前,应用于三相逆变器中的调制方式分为 PWM 调制和 SVPWM 调制。SPWM 调制方式采用正弦波作为调制波与三角载波作比较生成按照正弦规律变化的脉宽调制信号控制逆变器的功率开关管,由于其数字化应用效果不好,逐渐被三电平逆变器淘汰。针对 T 型三电平三相逆变器的工作原理,发现其工作原理过程中开关管的组合与电机驱动领域控制电机的方式类似,都具有不同开关组合得到不同电压矢量的特点,因此可以借鉴早期应用于电机驱动领域的 SVPWM脉宽调制技术。通过这种方法可以使电压有效地利用,降低了开关管的开关频率,开关损耗降低,系统效率提高,并且输出波形正弦化较好,使滤波器设计简单化,同时其易于数字化的实现方式,使其广泛应用于三电平逆变器中。
由于三电平相较于两电平来说基本矢量大大增多,传统的利用最近三矢量合成参考矢量的方法由于其计算量过大,计算时间较长,无法满足在应用中的快速性和便捷性,因此有学者进行了进一步研究。目前简化的 SVPWM 方法有两种,一种是采用 60度 或 120度 的非正交坐标系下建立的 SVPWM 算法,这种方法在判断扇区位置和计算作用时间时不必计算复杂的三角函数公式,大大降低了计算量,数字化处理较快,但是在数字化处理中需要进行最近三矢量的二维坐标转换,增加了控制的复杂度。另一种方法是将大扇区内的参考矢量划分为 4 个或 6 个两电平矢量区域,由两电平矢量和基本小矢量组合成参考电压矢量,返回到传统两电平矢量合成方式当中,这样可以简化计算,因此被广泛应用。
目前,应用于 T 型三电平三相逆变器的控制方法主要包括:PI 控制,滞环控制、模糊控制和神经网络等控制方式。虽然目前来说 PI 控制简单灵活在工业应用中较为广范,但是 PI 控制不能很好将稳态误差消除,对三相逆变器电压外环电流内环的双闭环并网控制时,必须先对三相电流进行 abc-dq 的坐标转换,然后对 dq轴下电流的耦合问题进行解耦设计才能进行控制,使控制变得更加复杂。滞环控制是通过将检测到的电流与参考电流做差值计算,得到比较误差送入滞环比较器中,通过判断误差大小和给定环宽值的比较来控制开关管的开通或关断。控制的响应速度快、控制结构简单和抗干扰能力强的特点。还衍生出能够动态调节环宽给定值的自适应滞环控制方法等。模糊控制和神经网络控制等智能控制方法目前也被大量应用在三电平逆变系统中,虽然有着较好的控制效果,但是其算法较复杂,实行难度高等也是需要考虑和权衡的问题。
1.3 碳化硅(SiC)MOSFET 串扰抑制方法研究现状
从原理上说,抑制串扰的根本思路就是减小栅源极间的阻抗,为密勒电流提供一个低阻抗回路。因此,根据碳化硅(SiC)MOSFET 串扰抑制电路中是否额外加入带有控制信号的有源器件,可以将串扰抑制方法划分为无源抑制和有源抑制。无源抑制方法的种类有很多,最常用也是最简便的方式就是增大驱动电阻,或者在碳化硅(SiC)MOSFET 栅源极间并联电容等,如文献[42-45]通过在碳化硅(SiC)MOSFET 栅源极并电容,使驱动回路阻抗降低,从而解决桥臂的串扰问题。但是,在 gs 两端并联一个较大的电容等效于增大了碳化硅(SiC)MOSFET 栅源极电容,较大的电容会增加充放电时间,降低器件的开通或关断速度,产生更多的开关损耗,与碳化硅(SiC)MOSFET 高频特性和变换器高效率要求相违背。文献[46]采用串联电容的无源三极管和与三极管发射极反向连接的二极管方式的抑制电路,虽然此方式本身能够产生负的关断电压,抑制正向串扰电压尖峰,但是其开关管的开关速度会降低。文献[47]提出一种栅源极间并联一个高频二极管的抑制串扰电路,虽然能够不影响开关管的开通关断速度,但是其正向串扰电压尖峰抑制效果较差。文献[48]提出一种通过主动降低等效栅极电阻和增加等效栅极源电容来降低串扰电压的驱动电路,虽然其可以达到抑制串扰正、负向电压尖峰的目的,但是增加等效栅源极间电容会降低开关速度。文献[49]提出一种具有电平移位功能的高速负压驱动器,虽然能够提供负压关断电压,而且能够很好的抑制串扰问题,但是电路工作较为复杂,且影响开关器件的开通关断速度。文献[50,51]提出一种在器件开通或关断过程中通过增大驱动电阻的方式来抑制密勒平台期的电压变化率,从而达到抑制串扰的目的。该方法虽然能够降低开关延时时间,但是由于增大了驱动电阻,开关损耗问题变得严重,同时也存在是否能准确监测开关状态的问题。这些方法虽然简单有效,但是会增加开关损耗,效果并不理想。
另一种是有源抑制方法,如文献[52-55]提出一类电容和主动控制 MOSFET 开关管或被动控制三极管串联最后并联在 SiC MOSFET 栅源两端方式的驱动电路,通过主动控制 MOSFET 的导通与关断或被动控制三极管的开启或闭合来达到抑制串扰的目的,将电容并联在栅源极两端相当于减小驱动回路阻抗,既不增加开关延时和开关损耗,又能达到抑制串扰的目的。但是该方法需要额外增加一路开关驱动信号,使得控制复杂程度和成本增加。文献[56]提出了一种通过在开关瞬态过程中改变栅源极电压和电容的多步有源栅极驱动器来抑制串扰,虽然也能达到抑制串扰的目的,但是也会增加控制的复杂程度,使成本增加。
1.4 课题的研究内容及其设计指标
1.4.1 课题的主要研究内容
论文的主要内容是对 10kW 储能逆变器(PCS)进行研究和设计,该系统能够解决在当前新能源微电网系统应用中因外部环境变化所带来的电能不稳定问题。该系统设计的硬件部分是首先根据当前主流逆变器结构分析各自的工作特点和优缺点,选取最适合的拓扑主电路,然后根据所设计的系统功率和电压等级等参数对直流母线电容、LCL 滤波器、驱动电路、采样电路和供电电路进行硬件设计。软件部分通过对数学模型的建立、双闭环控制策略的设计和空间矢量调制策略的软件设计对 T 型三电平三相逆变器进行整体设计。论文各章节的说明如下:
第一章:首先阐述储能逆变器(PCS)的课题来源以及研究意义,然后对当前并网逆变器的拓扑结构进行比较分析,结合本论文内容和实验条件选取 T 型三电平三相逆变器作为本论文设计的拓扑结构,并对当前控制方式进行类比总结,为之后的软件控制提供方案。最后,对桥臂串扰问题进行分析并归纳分类抑制串扰的方式和方法,为第二章提出新型抑制串扰的驱动电路打下基础。
第二章:本章首先分析 T 型三电平三相逆变器的工作原理,针对横向串联的功率开关管的两种连接方式做出优缺点评判,结合实际条件选取适合于本课题的连接方式,对换流过程进行详细分析,规定空间矢量调制方式的调制规则。针对串扰问题,以同步 Buck 变换器电路为例详细分析桥臂串扰产生的原因和对系统安全稳定运行的影响,然后提出所设计的一种改进型抑制 SiC MOSFET 桥臂串扰的门极驱动电路,并对其工作原理进行详细的分析,为之后的仿真和实验验证提供理论指导。
第三章:主要内容是对 T 型三电平三相逆变器进行硬件方面的设计。首先确定硬件电路的整体设计方案,根据系统的功率和电压等级计算参数对功率开关管进行选型,对直流侧母线分压电容和 LCL 滤波器参数进行计算分析。然后针对SiC MOSFET 和 IGBT 功率开关器件不同的驱动要求设计相应的驱动电路。为了实现逆变器的双闭环控制和电路中各模块和芯片的正常运行,对系统的电压电流采样电路和供电电路进行设计。
第四章:首先,针对并网控制策略进行数学模型建立,对采样的三相交流信号坐标转换原理进行分析并推导控制解耦过程,设计了双闭环 PI 控制系统结构,分别对电压环和电流环的传递函数进行推导,结合工程经验确定 Kp 和 Ki 参数。软件设计方面,对 T 型三电平三相逆变器开环和闭环控制的空间矢量调制策略并结合中点电位平衡控制策略进行主程序和中断处理程序的设计。
第五章:通过 T 型三电平三相逆变器在 MATLAB/Simulink 中进行仿真,验证理论的研究和参数设计的合理性,针对并网时的负载扰动验证双闭环控制策略和中点电位平衡策略效果,并通过实验平台测量输出侧相电压和线电压的波形验证空间矢量(SVPWM)调制策略的正确性,通过三相输出电压或电流波形验证硬件参数和电路设计的合理性。对提出的改进型抑制碳化硅(SiC)MOSFET 桥臂串扰的门极驱动电路在 LTSpice 软件上进行仿真,仿真结果表明提出的新型串扰抑制电路在不影响器件开关速度的条件下还能具有良好的抑制正负向电压尖峰的效果。最后在搭建的同步 Buck 变换器电路中进行双脉冲测试,分析和比较了三种抑制桥臂串扰驱动电路的抑制正负向电压效果和开关管开通和关断速度的影响效果,验证本论文的创新点的优越性。
1.4.2 T 型三电平三相逆变器的设计目标
(1)本文需要做的主要工作有:计算实现 T 型三电平三相储能逆变器的直流侧母线电容参数;根据 T 型三电平三相逆变器拓扑的工作原理和功率器件最大耐压值计算来确定选取 SiC MOSFET 开关管和 IGBT 开关管的型号;LCL 型滤波器的参数计算和设计。
(2)针对 SiC MOSFTE 开关管和 IGBT 开关管的器件特性分别设计适合各自的合理的驱动电路,达到快速并准确控制开关管的目的。针对 SiC MOSFTE 桥臂串扰问题提出并设计和验证了一种改进型抑制 SiC MOSFTE 桥臂串扰的门极驱动设计。
(3)采样电路设计达到对系统直流侧与并网侧电压和电感侧与并网侧电流信号进行准确快速采集并进行预处理的目的,并将其转换成 DSP 所能处理的弱电信号;保护电路设计达到准确快速检测到故障信号并送到 DSP 中,使处理器动作达到保护整个系统安全的作用;供电电路设计达到安全稳定供给各个芯片电压的功能。
(4)详细分析 T 型三电平三相逆变器的工作原理,研究其中一相 4 个功率开关管的开关状态和换流的关系,利用 DSP 对空间矢量 SVPWM 调制方式进行软件设计。结合工程中的常识应用,首先对坐标变换进行理论推导,然后分别推导电压外环和电流内环的传递函数,并对 PI 调节器的 Kp 和 Ki 参数进行理论计算完成对并网系统进行双闭环控制设计。
(5)针对桥式电路所固有的串扰问题,特别是在使用了高开关频率的碳化硅(SiC)MOSFET 功率器件所造成的更加严重的误导通或损坏开关管的难题,对所提出的改进型抑制桥臂串扰的门极驱动电路进行理论分析,验证理论方法的正确性和合理性。
(6)将理论知识在 MATLAB/Simulink 和 LTSpice 仿真软件上进行正确性和合理性验证,然后通过搭建实验平台测试实际的结果,对仿真结果和实验结果做对比,最后,对所完成的目标做出总结。
1.5 本章小结
本章首先阐述了储能逆变器(PCS)的课题来源和研究背景及意义,表明储能逆变器在当今这个经济全球化和能源贫瘠化的环境下的至关重要的作用,其次,对当前三相逆变器国内外研究现状进行总结和分析,确定 T 型三电平三相逆变器为本论文设计的主要拓扑结构,并对控制策略进行总结,为之后的软件设计方案提供参考。同时,针对高开关频率下碳化硅(SiC)MOSFTE 功率开关器件栅源极电压受到同一桥臂开关管串扰影响加重问题,对目前串扰抑制的基本思想和方法进行分类汇总,阐述国内外串扰抑制方法的优缺点,并作对比分析,为第二章所提出的一种抑制桥式电路结构中桥臂串扰的新型驱动方法做出铺垫,同时也是本论文的创新点。
第二章 10kW 储能逆变器(PCS)的分析
2.1 T 型三电平三相逆变器工作原理分析
T 型三电平三相逆变器主电路如图 2-1 所示。其中,Udc 是系统拓扑的直流侧母线电压,由光伏阵列电池板经过 Boost 升压电路的输出电压得到。为了使该拓扑能够实现三电平输出,两个相同规格的分压大电容 C1 和 C2 串联后并联接在储能电池正负电压两侧,大电容 C1 和 C2 的连接点处就是中点电位零电位 O 点,相对于 O 点 C1 和 C2 的分压分别为 1/2 的 Udc,这也正是三电平逆变器所需的功率器件电压等级较低的原因。拓扑中每一相有四个功率开关器件构成,其中包括两个连接在中性点的 IGBT 和两个半桥的碳化硅(SiC)MOSFET 开关器件。逆变侧是LCL 滤波器与电网电压相连。

T 型三电平三相逆变器中,横向串联的两个功率开关管可以采取共射极的连接方式,也可以采用共集电极的连接方式,当 IGBT 采用图 2-2 左图所示的共射极连接时,需要有 7 路独立供电电源为驱动电路供电,当 IGBT 采用图 2-2 右图所示的共集电极连接时,仅需要 5 路独立供电电源为驱动电路供电,比共射极连接方式下减少了 2 路独立供电电源的设计。因此,串联的两个功率开关器件采用共集电极连接方式可以减少独立电源的使用数量,降低了系统成本。但是,当串联的两个功率开关器件采用共射极连接方式时,驱动电路所需要的阻断电压较低,相对于共集电极来说,开关损耗和传导损耗也较低。为了满足当前新型变换器的低损耗高效率的要求,本文决定横向串联的两个功率开关管采用共射极的连接方式。

由于 ABC 三相的桥臂工作状态完全相似,本文以 A 相桥臂为例来对 T 型三电平三相逆变器的换流过程的工作模态进行分析。如下图 2-3 为 T 型三电平三相逆变器的开关时序图,调制波设置为 50Hz 并网电压频率,载波设置为 50kHz 的开关频率,通过载波与调制波的比值就可以得到四个功率开关器件 Sa1~Sa4 的开关时序。如图 2-1 所示,闭合开关管 Sa1 可以得到正电平,闭合开关管 Sa4 可以得到负电平,通过同时闭合开关管 Sa2 和 Sa3 可以获得中点电平,这种控制策略下电流是双向流动的,需要一种基于电流的方向而定的换流控制策略。目前用的更加简单和高效的换流控制策略是可以不依赖于电流的方向而正常工作的。该控制策略是在闭合开关管 Sa1 的同时闭合 Sa2 来获得正电平,使开关管 Sa2 和 Sa3 同时闭合来获得中点电平,闭合开关管 Sa3 的同时闭合 Sa4 来获得负电平,这样可以达到电流的自然换向。

表 2-1 所示为相应的所需求的输出电压对应的开关器件开关组合,所有的功率开关器件仅仅通过短暂的开通延迟时间的设定,就可以完全避免直流母线短路的风险,使得系统安全稳定运行。

具体的 T 型三电平三相逆变器中 A 相半桥电路的换流过程如图 2-4 和 2-5 所示。假定该模式下电流的方向是正向流动,当输出的 A 相电压连接在正母线电压(P)处时,功率开关管 Sa1 和 Sa2 导通。当输出的 A 相电压需要切换到中点电平(O)处时,功率开关管 Sa1 断开,功率开关管 Sa3 经过短暂的死区延迟时间后导通,这样可以实现在功率开关管 Sa1 关断时,电流通过功率开关管 Sa2 和功率开关管 Sa3 的续流二极管自然地换流至中点电平(O)处。假定该模式下电流的方向是负向流动,由于此时功率器件 Sa1 开通,Sa3 关断,输出的 A 相电压可以通过 Sa1的续流二极管续流,使得输出相电压连接到正母线(P)电压,若要实现输出的 A相电压切换到中点电平(O)处时,功率开关管 Sa1 断开,功率开关管 Sa3 经过短暂的死区延迟时间后导通,这样可以实现在功率开关管 Sa1 关断时,电流通过 Sa2和 Sa3 自然地换流至中点电平(O)处。

当系统采用空间矢量调制(SVPWM)策略切换点发生在扇区交界处时,为了避免电流从正电压(P)跳变到负电压(N)或者从负电压(N)跳变到正电压(P)的情况发生,因此要求在同一调制周期内 Sa1 和 Sa2 不会同时导通。对于 T 型三电平三相逆变器进行电流切换过程时,功率开关管 Sa2 和 Sa3 的续流二极管 D3 的阻断电压会从-Udc/2 跳变到 Udc/2,此时,800V 的直流母线电压会直接加在 AO 两端。
T 型三电平三相逆变器电路共由 12 个功率开关器件构成,为了使其正常稳定运行,还需要满足以下几点:
(1)在控制过程中,一定要严格遵守功率开关器件 Sa1 和 Sa4、Sa1 和 Sa3、Sa2和 Sa4 互补导通的原则。如果桥臂上下开关管 Sa1 和 Sa4 同时导通,就相当于直流母线电压正负极短接,电路短路,会造成整个系统的严重损坏,后果不堪设想。开关管 Sa1 和 Sa3、Sa2 和 Sa4 的驱动信号都是两两互补的,是为了电流的自然换向设定的。
(2)A 相的 P、O、N 三个开关状态不能出现直接跨越中点电位 O 的跳跃切换情况。即开关状态可以先从正电平 P 切换到中点电位 O,然后由中点电位 O 切换到负电平 N 或者是先从负电平 N 切换到中点电位 O,再由中点电位 O 切换到正电平 P 状态,不能出现正电平 P 或负电平 N 直接越过中点电位 O 跳变到负电平 N或正电平 P 的情况。
(3)在三个开关状态 P、O、N 状态切换过程中,每相的桥臂上有且仅有一个功率开关管可以开通或关断。
通过上述分析可知,使用该换流策略,T 型三电平调制也能达到和传统的二极管钳位型三电平调制同样优良的结果。同时,该 T 型三电平逆变电路与二极管钳位型电路相比,每一相都可以省去两个高耐压的钳位二极管,使得系统成本大大降低。
2.2 桥臂串扰原理分析及新型串扰抑制驱动电路原理分析
电力电子变换器大多数都是桥式结构,现在的变换器都是以大功率、高电压和高开关频率为前提。由于死区时间的设置,在同一桥臂上,当上开关管动作时,下开关管处于死区时间必然是处于关断状态,由于在开关瞬态中高电压和高开关频率的原因使得 dv/dt 较大,使得密勒电容充电或放电产生密勒电流,密勒电流流过下开关管的驱动电阻产生正向或负向电压使得下开关管产生正负向电压尖峰,造成误导通或超过反向最大电压损坏开关器件的危害,这种情况称为桥臂串扰。
2.2.1 SiC MOSFET 功率器件串扰问题原理分析

为了简便和直观地分析串扰问题,以最简单的桥式电路同步 Buck 变换器为例详细分析串扰过程,如图 2-6 所示。图中 V1H、V1L 分别为上、下功率开关管 Q1和 Q2 的+20V 正向导通电压,关断电压为 0V。

如图 2-7 所示,此时驱动 Q1 导通,Q1 电压迅速降低,相对的 Q2 的电压迅速上升,如图 2-7 中的箭头所示方向,电流给开关管 Q2 的密勒电容充电。此时密勒电流流经栅极电阻 Rin_L 形成一个左低右高的电压差值,在 Q2 栅源极间产生一个正向的电压尖峰。由于碳化硅(SiC)MOSFET 的阈值电压 Vth 相对于硅基 MOSFET 较低,一般在 2.5V 左右,该正向电压尖峰很容易就超过阈值电压 Vth 使下开关管 Q2 发生误导通的情况,使直流电压直接短路产生较大电流,造成危害。

同理如图 2-8 所示,当 Q1 关断瞬间,Q1沟道内的电流逐渐减小,Q1 电压迅速上升,相对的 Q2 的电压迅速下降,如图 2-8中的箭头表示的是 Q2 的密勒电容放电的方向。米勒电容放电过程中产生的密勒电流流经栅极电阻 Rin_L 形成左高右低的电压差值,在 Q2 栅源极间产生负向串扰电压,可能会超过开关管最大耐负压值,造成损坏。由于碳化硅(SiC)MOSFET相比于硅基 MOSFET 器件耐负压能力较差,一般为-2V~-6V 之间,因此该负向电压尖峰可能会超过器件的最大负压承受能力,损坏功率器件,造成不必要的经济损失。
2.2.2 提出的新型串扰抑制驱动电路设计原理分析

综合第一章碳化硅(SiC)MOSFET 串扰抑制方法国内外研究现状所述,目前现有的 SiC MOSFET 串扰抑制方法有很多种变式,但是大多数方法都有其缺陷,比如降低开关频率从而增大了开关损耗,使高效性不能充分发挥,或者是增加了有源器件使电路控制复杂程度提高,增加了系统整体的成本,降低了可靠性。因此,在传统典型抑制方法的基础上,提出一种改进型有源密勒钳位驱动电路的设计方法,如图 2-9 所示。电路以 PNP 型三极管和 RCD 网络相结合的方式设计该驱动电路,由于辅助支路是用 PNP 三极管的开通关断来使电容并联在栅源极间,所以只需要提供使发射结正偏的 0.7V 电压即可,既不需要额外增加驱动信号和电路复杂度,又能达到抑制串扰的目的。电路主要由以下元件组成:SiC MOSFET,PNP 三极管,驱动电阻,PNP 三极管限流电阻,串扰抑制并联电容和二极管。

改进型有源密勒钳位驱动电路上下开关管的驱动波形和下开关管的漏源极电压及栅源极电压波形如图 2-10 所示。
详细的工作原理分析过程如图 2-11 所示。


开关模态 1[t0,t1]:此时上开关管 Q1 处于完全导通状态,下开关管 Q2 处于完全关断状态,电感电流经过上开关管 Q1 沟道,驱动回路中无电流经过,因此驱动电路中 R1H、R2H、R1L、R2L 上的电压都为零,抑制串扰驱动电路的辅助支路不工作。
开关模态 2[t1,t2]:上开关管 Q1 开始关断,S2H 闭合,Q1 的栅源极寄生电容 Cgs_H放电,由于二极管 D1、D2 的单向导电性,使得电流流经驱动电阻 R1H 和二极管D2 回路,由于电流流过二极管 D2 使得三极管 T2H 的发射极电压小于基极电压,三极管不导通,电容 C1 不能并联在栅源极两端,因此在关断过程中不会影响开关管的关断速度。与此同时,Q1 沟道与 Q2 开关管的续流二极管换流,导致 Vds1 迅速上升,Vds2 迅速下降,下开关管 Q2 的密勒电容 Cgd_L 开始放电,一部分电感电流流经电阻 R2L,产生使 PNP 三极管 T2L 发射结正偏的电压,T2L 的导通使得电容 C2并联到 Q2 的栅源极间寄生电容 Cgs_L 上,C2 的并联提供了一个低阻抗的回路,抑制了负向串扰电压。
开关模态 3[t2,t3]:换流过程结束后,电感电流通过下开关管的续流二极管续流,此时桥臂电路处于死区区间,上下开关管 Q1 和 Q2 均关断,辅助支路中由于无电流流过,因此也不工作。
开关模态 4[t3,t4]:下开关管 Q2 开始导通,Q2 开关管的续流二极管和 Q2 沟道换流,此时下开关管的驱动电压 V1L 经二极管 D3 和驱动电阻 R2L 回路给下开关管Q2 的栅源极电容 Cgs_L 充电,驱动电流在电阻 R2L 上产生正向电压使得 PNP 三极管 T2L 发射结正偏导通,电容 C2 并联在栅源极间,但是 V1L 产生的驱动电流却因为二极管 D6 的单向导电性无法给电容 C2 充电,因此该驱动电路不会影响开关管的导通速度。
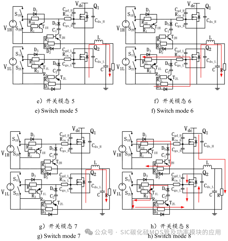
开关模态 5[t4,t5]:换流结束后,由于 Q2 处于完全导通状态,负载电流全部流过 Q2 沟道,辅助支路中由于无电流流过,因此也不工作。
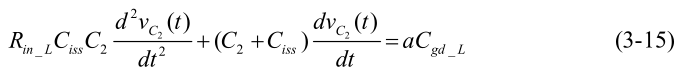
开关模态 6[t5,t6]:Q2 开始关断,Q2 沟道和 Q2 开关管的续流二极管换流,此时 Q2 的 Cgs_L 开始放电,参考模态 2 分析可知,C2 对 Q2 关断性能影响可以忽略。
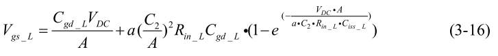
开关模态 7[t6,t7]:工作模式与模态 3 相同。
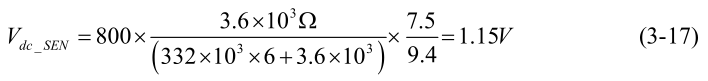
开关模态 8[t7,t8]:上开关管 Q1 开始导通,驱动电压 V1H 给栅源极间电容 Cgs_H充电,同理,根据模态 4 的分析可知,由于二极管 D5 的单相导电性同样无法给电容 C1 充电,因此也不会影响上开关管 Q1 的开通速度。与此同时,Q1 沟道与 Q2开关管的续流二极管换流,Vds1 迅速下降,Vds2 迅速上升,下开关管 Q2 的密勒电容 Cgd_L 开始充电,电流流经电阻 R1L 和二极管 D4 回路,电流在 Q2 的栅极阻抗 R1L电阻上产生左负右正的电压,使 T1L 发射结正偏导通,电流通过 PNP 三极管钳位在零电压处,从而抑制了 Q2 栅源极的正向电压尖峰。
换流过程结束后,工作模式又转换为开关模态 1,分析过程与上述相同。由上述分析可知,本文所提出的有源密勒钳位串扰抑制驱动电路可以满足在不影响器件开关速度的前提下,达到有效地抑制串扰的目的。
2.3 本章小结
本章首先分析了 T 型三电平三相逆变器的工作原理,分析了横向串联的功率开关器件采取共射极连接方式和共集电极连接方式的优缺点,选取最适合本课题的连接方式。其次,与传统二极管钳位三电平三相逆变器作对比,根据空间矢量调制方式的选择,规定调制规则以实现更加简单和高效的换流控制策略,并对该换流过程进行详细分析。最后,针对桥式电路都会存在的串扰问题,以同步 Buck变换器为例来详细分析串扰产生的原因和过程,介绍桥臂串扰问题产生的原因和会造成的结果,然后提出本文创新点,改进型抑制 SiC MOSFET 桥臂串扰的门极驱动电路,并对其工作原理进行详细的分析,为之后的仿真和实验验证提供理论支持。
第三章 10kW 储能逆变器(PCS)的硬件电路设计
3.1 T 型三电平三相逆变器硬件电路设计方案
本章主要分析了 T 型三电平三相逆变器主电路设计方法,包括功率开关器件的选型,母线电容的计算设计和 LCL 滤波器参数计算,桥臂碳化硅(SiC)MOSFET和中点电位 IGBT 开关管的隔离驱动电路设计,电压电流采样电路及供电电路的设计。

本文搭建了一台 T 型三电平三相逆变器实验平台,整体设计框图如图 3-1 所示,主要由主电路和控制两部分组成。逆变侧输出 3 电平的交流电压经过 LCL 滤波器滤波最后并入电网中。控制电路包括 DSP 控制器,逆变侧电压和电流的采样电路,并网侧交流电压和电流的采样电路,驱动保护电路和为主系统以及各芯片供电的供电电路等。
T 型三电平三相逆变器样机电路的各项参数如表 3-1 所示。

3.2 主电路参数设计与选型
T 型三电平三相逆变器的主电路硬件参数的设计主要包括对功率开关管的耐压和最大承受电流 IQ 的计算设计和选型,直流母线电容的参数设计与选型,LCL 滤波电路参数计算设计和选型。
3.2.1 功率开关管选型
功率开关管选型的关键因素是并网逆变器的额定电压值和额定功率值。在本设计系统中,直流侧电压的输入范围为 600~800V,再考虑到满足一定的裕量要求,开关管需要能够直接承受直流侧输入电压最大值的 1.1 倍,按照直流侧电压 800V 的 1.1倍来计算,需要功率开关管的最大耐压为 880V。由于 T 型三电平三相逆变器电路的每一相桥臂均有 4 个功率开关管,虽然开关管 Sa1、Sa4 和 Sa2、Sa3 工作时的耐压不同,但是在工作过程中所流过的最大电流却是相同的。
开关管 Sa1、Sa4 的耐压为:

开关管 Sa2、Sa3 的耐压为:

系统的过载系数λ=2 ,流过功率开关管 Sa1、Sa4 与 Sa2、Sa3 的电流最大值 IQ为:

最终,考虑一定的裕量,并考虑器件的开关损耗和系统整体的效率,功率开关管 Sa1、Sa4 选用力特(littelfuse)公司的型号为 LSIC1MO120E0080 的碳化硅(SiC)MOSFET 器件,耐压等级为 1200V,能够承受的最大电流为 80A;功率开关管 Sa2、Sa3 选用型号为 HGTG40N60A4 的 IGBT 器件,耐压等级为 600V,能够承受的最大电流为 63A。两种功率开关管皆满足上述计算结果。
3.2.2 直流母线分压电容的设计
T 型三电平三相逆变器的直流侧母线电压的两个电容具有平分直流侧母线电压Udc、储存能量、控制中点电位平衡和抑制直流侧产生的电压谐波等功能,相比较于传统两电平逆变器,多了一个中点电压平衡的问题。当电容容量不足时,可能会造成桥臂上的碳化硅(SiC)MOSFET 器件过压损坏,造成不必要的成本损失,同时还会使输出的电压和电流质量下降。当变换器处于正常有源逆变工作状态时,上开关管或者下开关管处于导通状态,储能电池和分压直流电容 C1 或 C2 放电为交流侧提供功率,直流侧母线电容电压降低;当变换器处于逆变续流工作状态时,中间串联的两个功率开关管 Sa2 和 Sa3 其中一个导通,另一个经过续流二极管续流,储能电池通过该中点电压桥臂给直流侧分压大电容 C1 或 C2 充电。在一个开关周期内,储能电池最大能量输出值为:

式中:
Pomax ——T 型三电平三相逆变器最大输出功率;
η ——系统的效率值。
推导出直流母线分压电容 C1 或 C2 经过一个开关周期内所消耗的能量 Qc 的计算公式为:

式中:
△u ——直流母线分压电容上的电压纹波值。
根据工程经验,电压纹波系数一般取 1%。
T 型三电平三相逆变器中,从能量转换角度看,两个等值分压大电容在一个周期内分别提供一半的能量,因此可以得到:

继而推导出:

由于直流侧母线电压最大值为 800V,结合计算结果并考虑到结构的空间排布等因素,最终选取 8 支耐压为 600V,容值为 120μF 的电容,采用 4 支并联成一组后再串联的方式并联在储能电池正负极两侧。
3.2.3 LCL 滤波电路参数计算设计
在现代光伏并网逆变器等系统中,高阶的 LCL 滤波器通常能够提供足够的高次谐波电流衰减,与较简单的 L 型、LC 型滤波器设计相比,LCL 滤波器具有设计尺寸较小,成本较低,滤波效果较好等优点,能够较为轻松的满足输送到电网的低谐波含量要求,大范围适合于中大功率并网逆变器的应用。滤波参数的计算需要考虑到开关频率、无功功率的损耗、滤波器的损耗、滤波元器件的体积和系统的成本等因素综合考虑。LCL 滤波器的等效电路如图 3-2 所示:

式中:
Vinv——逆变器侧的输出电压;
Linv——逆变器侧的电感值;
Lg——并网侧的电感值;
Rd——阻尼电阻;
Cf——滤波电容值;
g——电网电压。
根据滤波电容的设计原则,较大的 Cf 会吸收更多的逆变侧高频纹波电流,但是电容越大也会带来逆变器输出的无功功率增大的问题,在保证输出同样有功功率的前提下需要逆变器输入侧提供更多的功率,这将会提高电流等级和造成更大的损耗,使系统的效率降低。一般工程上选取 Cf 的大小是按照电容器吸收的总无功功率的 5%来计算。
滤波电容需要满足如下条件:

式中:
Pomax——T 型三电平三相逆变器的额定功率;
Vgrid——电网相电压有效值;
fgrid——电网频率;
λ——滤波电容 Cf 吸收的无功功率与逆变器额定功率 P 之比。
逆变侧滤波电感的计算公式如下

LCL 滤波器需要滤除功率开关器件所造成的高频谐波,由 LCL 滤波器的高频特性可知,谐振频率应尽可能接近于开关频率,这样滤波器可以在开关频率处有较大的衰减。同时,考虑到逆变器在工作频率和开关频率处会造成谐振,为了远离它们,一般要求谐振频率的设计应在 10 倍的工作频率和 0.5 倍的开关频率之间,即:

式中:
fSW ——逆变器的开关频率。
谐振频率的范围可以更进一步缩小为:

基于设计经验,选择 16kHz 作为谐振频率。

最后,需要确定必须增加阻尼电阻来避免振荡的产生。一般来说,阻尼电阻和谐振时 Cf 阻抗具有相同的相对数量级才是合适的,用这种方法可以推导出阻尼电阻Rd 如下式:

3.3 隔离-驱动电路设计
碳化硅(SiC)MOSFET 和 IGBT 功率开关器件是决定着电力电子变换器能否正常工作的关键器件,而一个良好的驱动电路又决定着碳化硅(SiC)MOSFET 和 IGBT功率开关器件能否根据驱动信号快速正常开通或关断,所以一个简单、准确而又高效的碳化硅(SiC)MOSFET 和 IGBT 功率开关器件的驱动电路对于整个的逆变系统尤为重要。通常来说,碳化硅(SiC)MOSFET 和 IGBT 功率开关器件的驱动电路设计需要遵循以下几个原则:
(1)驱动电路需要具备隔离输入信号和输出信号的作用,同时需要具有信号传输低延迟性和传输的流畅性,这样才能使功率开关器件在接收到信号时迅速动作从而保证系统的稳定性。
(2)对于碳化硅(SiC)MOSFET 和 IGBT 功率开关器件来说,驱动电路要有适当的驱动电压来使其导通,其中,使碳化硅(SiC)MOSFET 导通的门极正偏电压为+20V~+25V,使 IGBT 导通的门极正偏电压为+12V~+15V。同时,碳化硅(SiC)MOSFET 和 IGBT 的驱动电路还应该能够产生使碳化硅(SiC)MOSFET 和 IGBT 功率开关器件快速关断的负门极电压,对于碳化硅(SiC)MOSFET 开关器件来说,门极电路的负关断电压一般应为-2~-5V,对于 IGBT 开关器件来说,门极电路的负关断电压一般应为-2~-10V。通过负压关断既可以满足器件的快速关断,又能防止桥臂之间产生串扰而使得开关器件发生误导通的状况。
(3)驱动电路在满足正常驱动功能的前提下,还应该具备故障时检测到故障并排除的能力和故障时能够自我保护的能力,这样可以避免碳化硅(SiC)MOSFET 和IGBT 功率开关器件损坏造成不必要的损失。
(4)为了保证信号传输的快速性、抗干扰性和流畅性,驱动电路的硬件设计部分应当注重考虑与碳化硅(SiC)MOSFET 和 IGBT 功率开关器件距离的问题,同时也要注意近距离所带来的严重电磁干扰问题,所以,在实际驱动电路的设计中需要着重考虑 EMC 问题。
3.3.1 碳化硅(SiC)MOSFET 驱动电路设计
传统用于驱动 MOSFET 或 IGBT 功率开关管电路一般采用 EXB841 或者 M57962驱动芯片,这两种驱动芯片虽然是简单又经典的设计,但是存在着驱动电路的实物体积较大且应对复杂环境时适应能力差等问题。而且,当功率开关管 MOSFET 或IGBT 出现过流的情况时,需要通过额外的软件或者硬件电路来封锁驱动信号,驱动芯片本身不能实现输出的 PWM 信号自锁功能。除上述缺点,碳化硅(SiC)MOSFET功率器件相较于 Si 基功率器件对驱动电路的要求更高,主要体现在驱动电压值、驱动快速性和反并联二极管的反向恢复时间上。Si 基器件的驱动高电平为+12V 或者+15V,低电平为 0V。一款 Cree 公司的耐压为 1200V 的碳化硅(SiC)MOSFET 推荐的开通电压为+20V,关断电压为-2~-5V。虽然它的开启阈值电压只有 2.5V,但是只有当驱动电压达到 16V 时,碳化硅(SiC)MOSFET 才能完全开通。所以,常规的驱动 Si 基功率器件的驱动电路不能够直接用来驱动碳化硅(SiC)MOSFET,需要对其进行专门的设计。另外,由于碳化硅(SiC)MOSFET 与一般的 Si MOSFET 相比,门极充电电荷比较小,因此所需要的驱动功率也比较小。
本次的驱动保护电路采用了 TI 公司的 ISO5852S 芯片,集成了欠压自锁、碳化硅(SiC)MOSFET 过流保护、故障检测状态返回和串扰有源密勒钳位等功能。
使用 TI 公司的 ISO5852S 驱动芯片设计的碳化硅(SiC)MOSFET 驱动保护电路如图 3-3 所示。

ISO5852S 驱动芯片是一款用于碳化硅(SiC)MOSFET 和 IGBT 的 5.7kVRMS增强型隔离栅极驱动器,具有分离输出(OUTH 和 OUTL)结构。输入端是采用 2.25V至 5.5V 的单电源供电,输出侧可接受 15V 至 30V 的电源电压供电。输入端采用两路互补的 CMOS 输入来控制栅极的输出,传播延时仅有 76ns,使控制更加精准。
在栅极驱动器的副边侧,栅极电阻 R21 和 R22 控制功率开关器件的栅极电流,使其处于安全电流下稳定工作。内置的去饱和(DESAT)故障检测功能引脚可防止短路故障期间因集电极或漏极电流过大而造成的任何破坏。为了防止损坏功率开关器件,ISO5852S 在检测到故障时可以缓慢关闭碳化硅(SiC)MOSFET,这种缓慢的切断方式可以确保过电流以可控的方式减少。DESAT 二极管 D7 从栅极驱动器传导偏置电流,当 SiC MOSFET 处于 ON 状态时,允许感知碳化硅(SiC)MOSFET 饱和的漏极-源极电压。
3.3.2 改进型抑制 SiC MOSFET 桥臂串扰的门极驱动设计
本文提出的改进型抑制碳化硅(SiC)MOSFET 桥臂串扰的门极驱动电路设计采用分立器件,即用 RCD 网络和 PNP 三极管相结合的方式,器件均为无源器件,在满足抑制串扰的同时,能保证在正常开通和关断过程不会产生额外的损耗,同时,所设计的驱动电路也能保证功率器件的正常开通和关断速度。其中,R1H、R2H、R1L与 R2L 为驱动电阻,用来控制 PNP 晶体管的导通和关断,R1、R2、R3 和 R4 为 PNP三极管的基极限流电阻,PNP 三极管选用的型号为 2N2907,其发射极-集电极耐压VCEO 为 40V,基极-集电极耐压 VCBO 为 60V,集电极电流 IC=600mA,符合设计要求。改进型抑制 SiC MOSFET 桥臂串扰的门极驱动设计如图 3-4 所示。

如图 3-5 所示为上开关管关断瞬间,下开关管的等效电路。

由电路的基尔霍夫定律可得,G 点的节点电压方程为:

将式 3-14 化简为二阶微分方程标准形式为:

通过求解式 3-15 的电路微分方程,可得到下开关管栅极串扰电压 Vgs_L 的表达式:

式中:A——辅助电容 C2 和输入电容 Ciss 的和。
如下图 3-6 所示,上开关管关断时下开关管的串扰负向电压尖峰与辅助电容 C2的关系曲线,要求串扰负向电压尖峰应小于开关管所能承受的负向电压。从图 3-6中分析可知,为满足串扰负向电压尖峰小于负向安全电压,电容取值应大于 0.1nF,当辅助电容大于 10nF 的条件下串扰电压幅值会趋于不变,考虑到一定的裕量,辅助电容容值选择 0.1μF。

3.3.3 IGBT 驱动电路设计
下图 3-7 给出了隔离 IGBT 门极驱动电路的原理图设计。UCC5320 芯片是一款单通道隔离式栅极驱动器,用于驱动硅(Si)MOSFET、IGBT、碳化硅(SiC)MOSFET和氮化镓(GaN)MOSFET 等开关器件。目前被广泛应用到电机驱动器、高压直流到直流转换器、不间断电源 UPS、混合动力汽车(HEV)和电动车(EV)电源模块以及光伏逆变器中。

UCC5320 芯片提供分离输出(OUTH 和 OUTL),可分别控制上升和下降时间。UCC5320 芯片将晶体管的栅极连接到内部进行钳位,以防止密勒电流的影响从而造成误导通的情况发生。UCC5320S 主侧由 3.3v 电压供电,在 VCC1 引脚上的 0.1µF的陶瓷电容器的功能是对噪声信号进行解耦。栅极驱动器的 PWM 信号是单端输入,在连接到栅极驱动器输入之前,由 R35 和 C46 组成的 RC 低通滤波器进行滤波,该滤波器可以滤除 DSP 控制器到栅极驱动侧的高频噪声信号,防止 PWM 输入上的超调和欠调现象的发生。反向的 PWM 输入 IN 由于在设计中不使用,因此连接到一次侧地。UCC5310MC 还具有有源米勒箝位功能,可用于防止米勒电流引起的功率开关管误导通。10kΩ的电阻通过 IGBT 连接到靠近主电源板上 IGBT 的发射极引脚。这种连接可以确保 IGBT 在栅极驱动器由于故障断开 IGBT 的情况下保持关闭状态。
在封装方面,UCC5320 采用 4mm SOIC-8 (D)或 8.5mm SOIC-8 (DWV)封装,可分别支持高达 3kV RMS 和 5kV RMS 的隔离电压。凭借这些各种不同的选项,UCC5320 非常适合电机驱动器和工业电源。与光耦驱动器相比,UCC5320 具有传播延迟更小,工作温度更高等诸多优点。
3.4 采样电路设计
本论文采用的系统主控芯片是TI公司的 TMS28335 DSP 控制器,TMS28335 的模数转换模块(ADC)能处理的模拟输入电压范围为 0V 到 3V 之间,T 型三电平三相逆变器系统需要采集的信号大多是以交流模拟信号为主,其模拟信号的幅值较高,超出了 TMS28335 的模数转换模块(ADC)所能接受的范围,因此需要设计相应的采样调理电路将其转化成能被 DSP 模数转换模块(ADC)接收并处理的电信号,然后送至微处理器中,经过微处理器的一系列处理,最终输出控制功率开关器件的PWM 波,从而使整个系统稳定安全工作。本论文所设计的 T 型三电平三相逆变器系统需要对直流侧电压、并网侧电压和并网侧电流进行分别采样,同时,采样电路还应具备强电和弱电的隔离功能。
3.4.1 系统电压采样电路及调理电路设计
本次系统设计过程中,是针对 T 型三电平三相逆变器系统中的直流侧母线电压和并网电网侧电压进行采样电路的设计,针对其各自的设计指标特点进行采样电路和调理电路的设计,具体设计的详细电路如下:
(1)直流侧母线电压采样设计

直流侧母线电压的采样电路如图 3-8 所示。采样电路采用型号为 AMC1311 的隔离式精密放大器,放大器的输出与输入电路用隔离栅隔离起来,抗电磁干扰能力强。AMC1311 的高阻抗输入针对连接高压电阻分压器或具有高输出电阻的其他电压信号源的情况进行了优化。该器件性能出色,支持在闭环系统中进行精确的低温漂电压或温度检测和控制。AMC1311 拥有放大倍数位为 1 倍的良好特性,并且具有高阻抗性的宽输入和输出电压范围,十分适合于较高的直流侧母线电压的采样监测。在采样电路正常工作时,直流侧母线电压利用串联式分压电阻的方式将电压信号同比例缩小,通过 AMC1311 隔离式运算放大器,而后经过运算放大器 PTLV9061IDCKR 进行调理,将信号送入微处理器中进行信号的处理和分析。本次设计的 T 型三电平三相逆变器中直流母线电压为 800V,可以计算经过电压采样后的信号所对应的电压值为:

2)并网侧电压采样设计

逆变系统的控制和整个系统的功率调控主要依赖于电网侧电压采样和三相电流的采样。DSP 通过对电网侧电压的采样信号进行实时监控和追踪可以更好的控制功率开关器件的 PWM 发波状况,使系统安全稳定运行。并网侧电压采样电路如图 3-9所示,在本次的并网侧电压检测电路设计中,选择 OPA4350UA 运算放大器,根据运算放大器的虚短虚断原理,可知并网侧电压采样系数为:

查用户手册可知其最大输出电压为 3V,则电压最大采样范围为:

3.4.2 系统电流采样电路及调理电路设计

在整个系统控制过程中,若想实现闭环系统的精确稳定控制,需要精确的电流采样值。在本次电流采样电路设计过程中,采用了两种不同的传感手段分别测量逆变侧电流和并网电流。逆变侧电流采样电路如图 3-10 所示。由于逆变侧电流采样测量中输出电压较高,控制器需要保持隔离的特性,因此采用 AMC1306M05 芯片。而且 AMC1306M05 具有 50mv 的输入范围,与其他典型输入范围为 250mV 的器件相比,总功率损耗显著降低,系统效率提高。并网侧电流采样电路采用的是霍尔效应传感器,用于检测流过电网侧电感的电流。该采样电路采用了 CASR15-NP 芯片,通过单输入方式对输入电流进行采样,以芯片的输出端电压作为基准电压,利用OPA4340UA 运算放大器、电阻和电容构成输出滤波电路组成信号调理电路将采样信号进行放大,最终输送至 DSP 处理芯片中。并网侧电流采样电路如图 3-11 所示。

3.5 供电电路设计

如图 3-12 所示为 T 型三电平三相逆变器的供电电路设计的系统框图。其中包括系统主电路板电源设计、驱动保护电路供电设计、控制板供电设计和电流检测电路供电设计。本次供电电路设计主要介绍主路电源设计和控制板供电电路设计。

如图 3-13 所示为主电路板的供电电路设计。主电路板的供电电路采用一款易于使用的同步降压 DC/DC 转换器 LM76003 稳压芯片,较小的尺寸和优异的输出精度和效率可以驱动高达 3.5A 的负载电流,一次侧 15V-60V 较宽的输入电压额定值范围可以在工业供电电压源中十分方便的取电等优点。LM76003 同步降压转换器可以通过改变 R54 和 R57 反馈电阻的分压输出 12V 的电压,12V 输出电压可以为 T 型三电平三相逆变器主电路的继电器、散热风扇和隔离栅极驱动偏置电源等供电。同时该器件需要的外部组件较少,为了更好地解决的 MEI 和散热问题,进行了简化 PCB 布局的引脚设计。同时具有欠压锁定,过热断开和限电流与短路保护等功能。

如图 3-14 所示为控制板供电电路设计。控制板供电电路采用 PTH08080W 这一款高集成度、低成本的开关稳压芯片,它具有体积较小和稳压高效的优点,输入电压为 4.5V-18V 范围之间,具有欠压锁定和过流保护功能使其广泛应用在电信和测试与测量等领域。
3.6 本章小结
本章主要是对 T 型三电平三相逆变器进行硬件方面的设计。首先制定硬件电路的整体设计方案,根据系统的功率值和电压值对功率开关管的耐压等级进行计算,并结合拓扑特性和系统效率要求选取适合的开关器件,对直流母线电容和 LCL 滤波器进行参数计算和选型。然后,针对不同功率开关器件设计适合的隔离驱动电路,通过在驱动电路和碳化硅(SiC)MOSFET 开关管之间添加设计的抑制电路来解决桥臂串扰的问题。最后,为了实现 T 型三电平三相逆变器的双闭环控制和系统中各器件芯片安全稳定运行,对系统电压、电流采样电路和供电电路进行设计。
第四章 10kW 储能逆变器(PCS)的控制策略和软件设计
4.1 T 型三电平三相逆变器的并网控制策略
任何向电网中汇入的能量都是以无谐波污染为前提的,世界各国的学术组织和有关部门都对并网系统所并入的电流质量进行严格的要求和控制。因此,若想达到良好的并网效果,满足并网电流对于谐波含量、奇偶次谐波含量和较高的功率因数的要求,采用的适合于所设计的逆变器并网控制策略是十分重要的。通常来说,并网逆变器的控制需要达到对逆变并网输出电流稳定良好并入电网的控制的目的。本节针对 T 型三电平三相逆变器首先进行相应的数学模型建模,推导双闭环控制策略PI 的传递函数值,确定 Kp 和 Ki 参数,最终完成对并网电流的控制过程。
4.1.1 T 型三电平三相逆变器的动态建模
(1)abc 三相静止坐标系下动态数学模型
为了更好对并网控制系统进行分析,在建立数学模型时需要对模型进行简化处理,简化建模过程可以作如下假设:
(1)规定电网为理想的电网,电网中的电阻和电感为理想元器件,几乎为零,可以忽略不计,电网的三相各参数都相同且三相电压为严格对称的正弦函数波形;
(2)所有的功率开关器件都为理想器件,既无导通损耗,又没有反向恢复时间,死区时间也为零。

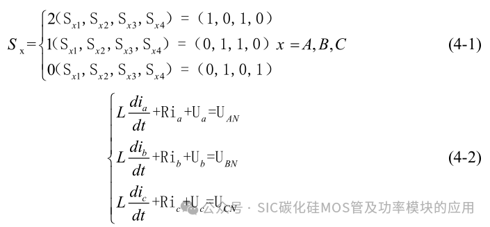
如图 4-1 所示为 T 型三电平三相逆变器的并网数学简化模型[57]。其中,Udc 为储能电池,C1 和 C2 为容值参数相等的分压直流电容,ia、ib 和 ic 是逆变侧输出的三相电流,Ua、Ub 和 Uc 为电网侧电压。为了计算方便,简化逆变器的开关状态为 0、1、2三种开关状态,各单相桥臂的功率开关器件开关状态和简化的开关状态如下表 4-1和公式 4-1 所示。基于三相静止 abc 坐标轴下的基尔霍夫电压定律可列写电路的动态方程为 4-2。

根据表 4-1,开关状态函数定义如下:

根据式 4-2 可以求出逆变输出的电流和电压之间的关系。

将上式转化为对应的频域方程,可以得到逆变器的输出电流频域表达式:

上式 4-4 为三相静止坐标系下的三相电流频域方程。由于在逆变过程中,逆变侧电压 UAN、UBN 和 UCN 与逆变并网侧电压 Ua、Ub 和 Uc 都是不能直接计算和控制的交流变量,进而无法进一步完成对于系统电流的控制过程,因此,需要对上述的方程进行解耦计算。工程上一般采用通过进行坐标变换的方法来将电网中的交流分量转化为直流分量,从而消去方程中的耦合分量,对方程进行简化分析和计算。
(2)abc-αβ-dq 坐标系变换
坐标变换可以分为两步,第一步是三相静止坐标系下 abc 三相到两相静止 αβ的坐标变换,第二步是两相静止αβ坐标系到旋转的 dq 坐标系下的变换。其中,坐标系的变换又可分为等量变换和等功率变换。等量变换的定义为在进行坐标变换后,三相的空间矢量始终保持不变;等功率变换的定义为在进行坐标变换后,三相空间矢量的功率保持不变。由于本文采用电压外环电流内环的双闭环 PI 控制方式,并没有直接对逆变器的功率进行实时的控制,因此本文打算采用等量变换的坐标变换方式。
如图 4-2 所示为 abc 三相到αβ的坐标变换再到 dq 坐标变换的关系图。其中,三相交流电压在静止坐标系下角度互差120度。

根据上图中 abc- αβ -dq 的坐标变换图可知,XA、XB 和 XC 分别对应为参考电压矢量在三相静止坐标系下的电压分量, Xα和 Xβ是参考电压在两相静止坐标系下的电压分量,Xd 和 Xq 是参考电压矢量在两相旋转坐标系下的电压分量。
第一步先求解三相静止坐标 abc 到两相静止坐标αβ的坐标变换。由本文采用的等量变换的坐标变换方式可知,可知 XA= Xα 。根据图中所示将 abc 三相电压投影至αβ坐标系下,可以得到三相电压 XA、XB、XC 在αβ两相静止坐标系下的电压分量公式:

通过对上式进行化简来转写成矩阵方程的形式,可以得到两相静止坐标系 αβ下向三相静止 abc 坐标系下的转换矩阵。

对公式 4-6 求逆矩阵可得:

上式 4-7 是三相静止 abc 坐标系下向两相静止坐标系αβ下的转换矩阵,这种矩阵变换的方式也就是我们数学上常说的 Clarke 变换方式。
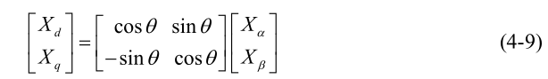
第二步是两相静止坐标系αβ到两相旋转坐标系 dq 的坐标变换过程。已知 d 轴相对于α轴旋转了θ角度。根据两相静止坐标系αβ到两相旋转坐标系 dq 的坐标投影可得:

通过对上式进行化简来转写成矩阵方程的形式,可以得到两相静止坐标系αβ下向两相旋转坐标系 dq 下的转换矩阵。这种矩阵变换的方式也就是我们数学上常说的Park 变换方式。

对公式 4-9 求逆矩阵可得两相旋转坐标系 dq 下向两相静止坐标系αβ下的转换矩阵。

(3)dq 坐标系下的数学模型
由于本文的 T 型三电平三相逆变器采用的调制方式是空间矢量调制,因此,逆变器的 SVPWM 算法中的参考电压矢量是以角速度ω匀速逆时针旋转,同时也定义两相旋转 dq 坐标系也是以角速度ω匀速逆时针旋转。通过这种方式,三相静止坐标系下 abc 正弦交流分量就可以转换为两相旋转坐标系而成为线性的直流量,便于对逆变系统进行控制。
如下公式 4-11 所示为逆变器输出侧的三相电压 UAN、UBN 和 UCN 在三相静止坐标系下的表达式:

由上述的 Clarke 变换公式可得到在两相静止αβ坐标系下的两相电压Uα和Uβ 的表达式:

再根据上述的 Park 变换得到在同步旋转的 dq 坐标轴下的三相逆变器电流方程的矩阵表达形式:

最终可以得到三相电流在两相旋转 dq 坐标系下的电流状态方程式。由此状态方程可以看出旋转坐标系下的含有耦合量,对于电流的直接控制造成了很大的麻烦,因此要对 dq 坐标系下的动态模型进行解耦以消除耦合分量。
(4)dq 坐标系下的动态模型解耦
由公式 4-13 可以看出,经过 Clarke 变换和 Park 变换后逆变器的输出侧电流方程已经将具有的交流量转换为仅含有线性的直流量方程,这为我们后续的采用 PID 控制器来控制电流提供了很大的便利。根据公式 4-13 可画出电流 id 和 iq 的控制结构框图如图 4-3 所示。

通过图 4-3 可以看出,电流 id 和 iq 的反馈量中分别有 iq 和 id 的分量。分析可知,虽然 abc 三相交流电流在 dq 两坐标旋转坐标系下消除了其三相交流分量,但是电流id 和 iq 仍然含有彼此的耦合分量。针对这个问题,工程上一般采用前馈解耦的方式使电流 id 和 iq 完全解耦。如图 4-4 所示,通过在逆变器的输出交流电压处分别引入前馈分量 Lωid 和 -Lωiq 与对应的耦合项 -Lωid 和 Lωiq 相互抵消,从而可以实现三相交流电流在旋转 dq 坐标系下的解耦过程,使得逆变系统可以简化为不含有耦合分量的线性系统,便于对三相电流进行 PI 控制。

4.1.2 基于 PI 控制的双闭环控制设计
PI 控制是目前三相逆变器在工业使用中用的最多而且最为成熟的一种有效控制方法。通过上一小节对于逆变器的动态数学模型进行分析,进行坐标变换和利用前馈解耦的方式可以实现线性控制逆变器的输出电流功能[61]。虽然单一采用电流闭环的单环控制方式可以控制电流和逆变器的输出功率,但是在实际的应用中,由于直流侧储能电池的电压易受到诸如光照或风能等外部条件所造成的电压不稳定的影响,所以还需要引入电压外环的反馈控制环节稳定直流侧电压。如图 4-5 所示为电流内环和电压反馈环节作为外环的双闭环控制结构图。

图 4-5 中所示电压外环输入量由 u* dc 和 udc 组成。其中,u* dc 表示光伏发电系统中的前端输出电压, udc 表示 T 型三电平逆变器直流侧的电压值。电流内环的输入量 i* d 是由 u* dc 和 udc 做差后通过 PI 控制变换所得,然后在电流内环部分通过对电网侧采集的电流直轴分量 id 与电流内环的输入量 i* d 比较,然后经过 PI 控制来对逆变器的有功功率输出进行控制。
(1)电流内环 PI 调节器设计
在双闭环的控制系统中,内环与变量的直接控制是分不开的,因此内环的特点是响应速度很快,动态性能较好。在并网逆变器的应用中,当系统发生扰动时,将电流环作为内环可以达到快速调节逆变器的输出相电流,提高系统动态响应的作用。通过采集电路采集的电流由于有器件开关延迟和采样时间的延时原因,导致采集的电流与该时刻的瞬时电流存在误差,因此需要着重考虑采样延时所带来的采样电流存在误差的情况。设电流的采样时间为 Tic ,开关周期为 T。一般来说,电流的采样时间是开关周期的十分之一,即 Tic = 0.1T 。 Kpi 表示电流内环的比例参数, Kii 表示电流内环的积分参数, Tds 为 PWM 信号的延时时间,通常为一般的开关周期,即Tds =T / 2 。逆变器的开关增益系数为 KPWM , Tif 为电流内环的滤波时间常数,等于八倍的开关周期,即 Tif = 8T 。如图 4-6 所示为直轴电流 id 的闭环控制框图。

在不考虑反馈的情况下电流内环的开环传递函数为:

由于公式 4-14 中的 Tic 、Td 和 Tif 相对于 Ts 时间参数较小,所以可以利用一个设定的惯性环节将式中的小惯性环节先合并后代替的方法得到一个总的惯性系数Tsf 。然后利用总的惯性系数对公式 4-14 进行简化计算得到系统的开环传递函数为:

得到了开环传递函数后进而求解系统的闭环传递函数:

从公式 4-16 中可以看出电流内环的闭环传递函数是一个二阶系统。二阶系统虽然有着对于扰动具有较快的响应速度的优点,但是其调节扰动时间较长和产生超调问题在工程中也是不容忽视的。根据工程经验可知,当阻尼比取ζ=0.07 时,闭环系统可以处于超调量和扰动调节时长都满足工程的要求。此时电流内环的 PI 调节器参数为:

(2)电压外环 PI 调节器的设计
由于光伏并网逆变器中储能电池的电压会随着负载的增加或减小从而造成电流的增加或减少发生剧烈变化,因此针对这问题必须在电流内环控制下增加一个电压外环的电压控制,使储能电池的电压不会因负载的变化产生剧烈波动,始终保持在一个合理的水平,这样也不会对储能电池的寿命造成损害。由于电网电压始终保持不变,当直流侧储能电池电压增大时,逆变系统对电网输出功率增大,从而使得输出电网电流增大。在工程应用中,将内部的电流环等效为外部电压环的一个惯性积分环节,取电流内环的输入值为电压外环 PI 的输出值。如图 4-7 所示为电压外环的控制原理框图。

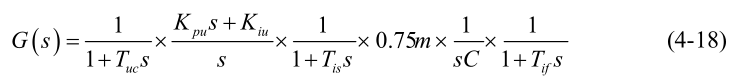
和电流内环一样,同样要考虑到采样时间的延时和采样电路中器件的开关延迟,令采样时间 Tuc 等于开关周期 T 的 1/10,即 Tuc =0.1T 。原理框图中的 Kpu 和 Kiu 分别为电压外环的比例和积分参数值。电压外环的反馈时间常数 Tuf=8T 。电压外环的开环传递函数为:

和电流内环计算方法一样,将小惯性环节合并在总惯性系数中,取调制比 m =1,则公式 4-18 可以化简为:

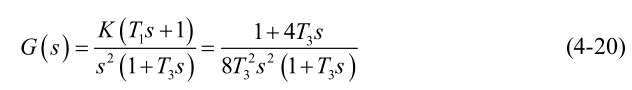
上式 4-19 为一个二阶系统的函数。设系统期望的电压外环开环传递函数如式4-20 所示:

联立式 4-19 和式 4-20 可得:

根据工程一般经验可得中频区的宽度 H=4 ,代入公式 4-21 可得电压外环 PI 调节器的参数:

4.2 软件设计
在本次的 T 型三电平三相并网逆变器的设计过程中,系统需要通过软件程序的设计,将空间矢量调制(SVPWM)控制策略在逆变系统中实现。该控制系统需要将从采样调理电路输出的符合 DSP 控制器接受 AD 信号,经过一定的控制算法的分析和计算,获得实际的电压或电流信号值。在获得电压或电流信号值后需要通过算法判断其是否存在故障情况,若存在故障,DSP 控制器则发出故障指令封锁 PWM 信号的输出,防止造成系统的损坏,若不存在故障,DSP 数字信号处理器则通过软件模块编写代码输出控制三电平逆变器 12 只功率开关管的 PWM 波,经过各个开关管的驱动电路后实现对系统逆变器的整体控制。由于本课题的重点在于 T 型三电平三相逆变器的硬件设计和对提出的一种改进型抑制碳化硅(SiC)MOSFET 桥臂串扰的驱动电路进行设计,因此本节对其软件控制不做详细的分析,只对其主要软件设计部分做简要介绍。
4.2.1 DSP 控制器工作过程介绍

如下图 4-8 所示,为 DSP 信号处理的主要过程。DSP 在经过传感器或者电压电流采样调理电路采集到信号后,首先经过限幅、滤波、放大或衰减等功能对接收到的模拟信号进行预处理,然后经过 A/D 转换模块将交流模拟信号转变为数字信号输送至 DSP 数字信号处理器中,经过相应的信号处理和运算,最后通过 D/A 模块或滤波通信接口将信号输出。
4.2.2 T 型三电平 SVPWM 主程序设计

控制系统进行初始化设置是程序运行的必要前提,按照对象的划分可将 DSP 控制系统的初始化分为模块初始化和变量初始化。如图 4-9 所示为系统的初始化流程图,系统在初始化后按照 SVPWM 的算法会进行对 CPU 的配置进行初始化、PIE 矢量表初始化和输出 IO口初始化以及调用 ADC 模块与事件管理器等别的模块的初始化子程序进行初始化过程,并使相应的中断进行使能,将储存的终端服务子程序的地址写入到 PIE 中,最后利用循环调用主程序完成初始化。

图 4-10 所示为开环 SVPWM 程序的实现流程图。逆变器的参考三相电压可以由DSP 控制器提供标准的三相正弦波信号得到,根据上小节中的空间矢量 SVPWM 调制策略,首先对三相交流信号进行 Clarke 变换,然后再根据扇区的划分规则进行所在扇区的判断,根据空间矢量的选取规则选择合适的合成空间矢量并计算和设计矢量作用时间和顺序,最后完成对逆变器中 12 个功率开关管的 PWM 信号发波顺序,从而实现对于 T 型三电平三相逆变器的 SVPWM 调制。

对于闭环 PI 控制的空间矢量 SVPWM 载波调制策略而言,由于需要解决 T 型三电平三相逆变器中的中点电位不平衡的问题,因此,关键的环节是要对 AD 采样部分重点关注,在满足 AD 采样模块正常快速的采样到电压或电流的同时,在软件方面要注意把握和设置 ADC 的上电顺序、时钟的配置和采样周期的取值分配,以及采样方式和采样的通道配置等问题。通过这样才能够保证准确及时地采样到逆变输出侧的电感电流,然后通过控制算法改变正负小矢量的作用时间来达到平衡中点电位的目的。具体的实现过程如图 4-11 和图 4-12 所示。

4.3 本章小结
本章主要是对 10kW 储能逆变器(PCS)的控制策略和软件方面进行了设计。首先,建立 T 型三电平三相逆变器的数学模型,然后详细介绍了三相交流电压或电流在 abc 三相静止坐标系转变为αβ两相静止坐标系再到 dq 两相旋转坐标系下的坐标转换原理,为了满足后续对输出的并网电流更好的进行 PI 控制,对其解耦过程进行了理论推导。同时,详细分析了并网控制过程中电压外环电流内环的双闭环控制系统结构,分别对电压外环和电流内环的传递函数进行推导,结合工程经验计算各自的 Kp 和 Ki 参数。软件设计方面,首先介绍了 DSP 工作的主要过程,然后,介绍了 T型三电平 SVPWM 主程序的设计流程,包括闭环和开环以及中断处理程序的软件设计流程图。结合第三章对于 T 型三电平三相逆变器硬件电路的设计,最后对 T 型三电平三相逆变器控制流程和中点电位平衡思路进行了分析。
第五章 10kW 储能逆变器(PCS)的仿真与实验结果分析
5.1 T 型三电平三相逆变器仿真和实验分析
本节内容主要介绍在 MATLAB/Simulink 仿真软件中对 T 型三电平三相逆变器进行整体系统的仿真,通过仿真结果验证了本次设计中各元器件参数的计算和选择的正确性与合理性。实验方面,搭建了一台功率为 10kW 的 T 型三电平三相逆变器实验样机,利用 DSP 控制器进行软件设计,通过实验验证各元器件参数的计算和设计以及控制方式的合理性。
5.1.1 T 型三电平三相逆变器系统整体仿真分析
在 MATLAB/Simulink 中搭建的 T 型三电平三相逆变器仿真模型如图 5-1 所示。其中直流侧电压为 800V,直流侧的两个分压电容值为:C1 =C2 = 480μF ,LCL 滤波器的参数选择为 C=9.947μF , Linv =347.9μH , Lg = 9.34μH , Rd = 0.316Ω 。主电路系统为了满足对逆变器高效率和高功率密度的要求,在上下桥臂上采用了碳化硅(SiC)MOSFET 功率开关器件,因此将开关频率设置为 50kHz。

T 型三电平三相逆变器中 A 相桥臂上的驱动信号仿真波形如图 5-2 所示。从仿真波形中可以看出功率开关管 Sa1 和 Sa3 的驱动波形、Sa2 和 Sa4 的驱动波形、Sa1 和 Sa4的驱动波形两两互补,满足 T 型三电平拓扑的工作原理分析和换流过程原理。

如图 5-3 和 5-4 所示,分别为逆变侧输出的相电压和线电压仿真波形。由 T 型三电平三相逆变器逆变侧的相电压仿真波形可以看出逆变侧可以输出一个正负电压为400V 的 +/-Udc / 2 的三电平电压波形。由 T 型三电平三相逆变器逆变侧的线电压仿真波形可以看出逆变侧可以输出一个 5 电平电压波形。由仿真得到的相电压和线电压比较平滑没有剧烈跳变的波形可知,本文采用的空间矢量调制 SVPWM 策略和引入分配因子 k 的中点电位平衡策略实现了预期的目标。


如图 5-5 和 5-6 所示,分别为 T 型三电平三相逆变器输出的三相电压和三相电流仿真波形。在仿真 0.04 秒时刻,对并网系统施加一个满载到半载的突变,以此来验证本文所设计的电压外环电流内环的双闭环 PI 控制策略的合理性,经过仿真结果的分析,在系统发生负载扰动时,T 型三电平双闭环 PI 控制策略能够很好的保证逆变器并网的电压稳定。同时也验证了本文对于 PI 控制器的 Kp 和 Ki 参数计算结果的合理性。


如图 5-7 所示为 T 型三电平三相逆变器并网电流的谐波分析(THD)指数图。可以看出本次设计的 T 型三电平三相逆变器系统对电网的电压和电流能够做出快速响应和较好的实时跟踪,并网电流的总谐波失真(THD)指数仅为 0.68%,输出的电流正弦性完全符合并网要求。

5.1.2 T 型三电平三相逆变器实验分析

根据第三章的硬件电路设计和第四章的控制策略分析和软件的设计,搭建了一台 10kW 的 T 型三电平三相逆变器,逆变器实验平台如图 5-8 所示。实验平台主体由电脑、DSP 处理器、T 型三电平三相逆变器功率板和驱动板、LCL 滤波器、负载阻抗组成。所需要的实验仪器仪表有:大功率直流电源和中小功率直流电源、示波器和高精度万用表等。

如图 5-9 所示,由图中实验波形可以看出碳化硅(SiC)MOSFET 驱动电路输出的+18V 正向驱动电压和-5V 的负向关断电压、功率开关管在驱动导通后,漏源极电压 UDS 从 400V 降低到 0V。验证了本文设计的驱动电路硬件的合理性和准确性。

如图 5-10 所示,T 型三电平三相逆变器中 A 相的逆变输出侧相电压波形和并网电流波形。由实验波形图可以看出 A 相上下桥臂上碳化硅(SiC)MOSFET 开关管即 Sa1 和 Sa4 互补导通的特性,还有逆变器经过 LCL 滤波器滤波后的并网电流波形的正弦性效果,从而实验验证了本文所设计的空间矢量(SVPWM)调制策略的正确性与合理性。

如图 5-11 所示,T 型三电平三相逆变器中 A 相的逆变输出侧线电压实验波形图。通过实验波形图可以看出,逆变输出侧的线电压波形呈现一种 5 电平电压波形结构,和仿真结果完全一致。同时,并网电压和并网电流正弦性良好,满足并网要求。
5.2 改进型抑制 SiC MOSFET 桥臂串扰的门极驱动仿真和实验分析
本节内容是对提出的改进型抑制 SiC MOSFET 桥臂串扰的门极驱动电路进行仿真和实验验证。通过第二章的工作原理介绍和模态分析,为了验证理论的可行性,接着在 LTSpice 软件上进行仿真的搭建工作。最后,通过搭建试验平台验证理论的可行性和串扰的抑制效果。
5.2.1 改进型抑制 SiC MOSFET 桥臂串扰的门极驱动仿真分析
如第二章所述,本仿真模型的搭建是采用同步 Buck 电路这一最基本的桥式电路结构为拓扑,采用力特(littelfuse)公司的型号为 LSIC1MO120E0080 的 SiC MOSFET器件的 LTSpice 模型,驱动电路采用正向驱动开通电压为+20V,关断电压为 0V 的驱动设计,直流母线电压 Udc=800V,如图 5-12 所示为基于同步 Buck 电路的双脉冲测试仿真模型。

下图所示为传统串扰抑制电路、典型串扰抑制电路和改进型串扰抑制电路的仿真结果波形图。如图 5-13 所示为三种串扰抑制电路的驱动波形图,通过图示可以得到本文所提出的改进型抑制碳化硅(SiC)MOSFE 桥臂串扰驱动电路在满足抑制串扰效果的同时,还能保证开关管的开通速度不受影响。如图 5-14 所示,当正向串扰发生时,改进型抑制串扰驱动电路的正向串扰电压尖峰最大值为 1.8V,未达到碳化硅(SiC)MOSFE 功率开关器件的阈值开启电压,防止了器件的误导通情况。如图5-15 所示为负向串扰发生时,三种抑制电路中下开关管的负向电压尖峰波形,由图中可以看到,改进型抑制串扰驱动电路在发生负向串扰时,负向电压尖峰最大值为-2V,小于碳化硅(SiC)MOSFE 功率开关管所能承受的-6V 的最大反向电压值,保证了功率开关器件的安全稳定运行,提高了系统的可靠性。


5.2.2 改进型抑制 SiC MOSFET 桥臂串扰的门极驱动实验分析

本次实验选用力特(littelfuse)公司的型号为 LSIC1MO120E0080 的 SiC MOSFET器件,具体参数如下表 5-1 所示。搭建的双脉冲测试实验原理框图如下图 5-16 所示,由控制系统 DSP、抑制串扰栅极驱动电路和同步 Buck 变换电路组成。通过双脉冲测试实验平台,对传统串扰抑制电路,典型串扰抑制电路和本文提出的改进型有源密勒钳位串扰抑制驱动进行试验效果对比。本文所提出的抑制串扰的栅极驱动电路的主要元器件参数为:V1H=18V,V1L=18V,C1=0.1μF,RH、RL、R1、R2、R3、R4=10Ω。

如下图 5-17、5-18 和 5-19 分别给出了传统串扰抑制驱动电路,典型串扰抑制驱动电路和本文提出的改进型有源密勒钳位串扰抑制驱动的实验结果波形。





通过对图 5-17、5-18 和 5-19 的分析和总结可以得到三种串扰抑制驱动电路的实验结果,对比结果如表 5-2 所示。
根据实验结果可知,传统串扰抑制驱动电路发生串扰时产生的正负向串扰电压分别为 4.6V 和-7V,是本设计采用的 SiC 的阈值电压为 2.8V 的两倍,因此很容易造成误导通情况的发生,而负向串扰电压也超过了开关管-6V 的最大耐负压能力。典型串扰抑制驱动电路发生串扰时产生的正负向串扰电压分别为 1.6V 和-1.36V,对比着传统驱动电路虽然其正向电压尖峰没有超过阈值电压,但还是比较接近 Vth,因此依然存在桥臂误导通的隐患,而负向电压尖峰在开关管的安全负压范围内,因此较为有效的解决了开关器件损坏的问题。所提出的改进型有源密勒钳位串扰抑制驱动电路在发生串扰时的正负串扰电压为 0.96V 和-1.40V,分别比传统驱动电路降低了79.1%和 80%,正向电压尖峰比典型驱动电路降低了 40%,负向电压尖峰基本一致,其 SiC MOSFET 开关器件开通和关断延时也有一定的降低。不仅解决了开关器件误导通的问题,其负压尖峰也在开关管的安全负压范围内,因此使得 SiC MOSFET 的安全稳定运行得到保障。
5.3 本章小结
本章的第一部分对 T 型三电平三相逆变器在 MATLAB/Simulink 中进行仿真,验证了 T 型三电平三相逆变器参数设计的合理性,同时验证了软件设计的双闭环控制策略对于负载扰动时,并网电流的抗扰动能力,以及通过 THD 指数的参考判断能否满足并网的要求,其次,对 T 型三电平试验平台进行实验验证,测量输出侧相电压和线电压的波形验证空间矢量(SVPWM)调制策略的正确性,通过三相输出电压或电流波形验证硬件参数和电路设计的合理性。第二部分对提出的改进型抑制碳化硅(SiC)MOSFET 桥臂串扰的门极驱动设计在 LTSpice 软件上进行仿真验证其抑制效果,突出新型串扰抑制驱动电路既具有优良的正负向电压尖峰的抑制,同时又能够不降低开关器件的开关速度的优良特点。最后在搭建的同步 Buck 变换器电路中进行双脉冲测试,分析和比较了三种抑制桥臂串扰驱动电路的抑制正负向电压效果和开关管开通和关断速度的影响效果,验证本论文的创新点的优越性。
第六章 结束语
6.1 主要工作与创新点
本文主要是以 T 型三电平三相逆变器作为主要研究对象,对逆变器进行硬件电路设计和软件控制的设计。详细介绍了 T 型三电平三相逆变器的工作原理,计算功率开关器件的参数并选型,对直流侧分压电容和 LCL 滤波器进行参数计算,对驱动电路,采样电路和供电电路进行设计,包括原理图的设计和 PCB 板的绘制,对硬件电路进行调试。软件方面通过 DSP 控制器设计 SVPWM 调制策略和系统双闭环控制策略,推导传递函数和计算 Kp 和 Ki 值验证控制的合理性。对提出的碳化硅(SiC)MOSFET 桥臂串扰抑制电路进行工作原理分析,通过仿真和搭建同步 Buck 电路双脉冲实验平台进行串扰抑制效果验证。主要工作总结如下:
(1)首先阐述储能逆变器(PCS)的课题来源以及研究意义,对国内外热门逆变器的拓扑进行比较分析,选取 T 型三电平三相逆变器作为本论文设计主拓扑,并对控制方式进行类比总结。对桥式电路中桥臂串扰问题进行分析并归纳抑制串扰的方式和方法,为提出新型抑制串扰的驱动电路做准备。
(2)分析 T 型三电平三相逆变器的工作原理,对换流过程进行详细分析,规定空间矢量调制方式的调制规则。以较为简单的同步 Buck 变换器电路为例详细分析桥臂串扰产生的原因,提出所设计的一种改进型抑制 SiC MOSFET 桥臂串扰的门极驱动电路设计,并对其工作原理进行详细的分析,为之后的仿真和实验验证提供理论指导。
(3)对 T 型三电平三相逆变器进行硬件方面的设计。确定硬件电路的整体设计方案,对功率开关管进行参数计算和选型,对直流侧母线分压电容和 LCL 滤波器参数进行计算。针对 SiC MOSFET 和 IGBT 功率开关器件不同的驱动要求设计相应的驱动电路。为了实现逆变器的双闭环控制和电路中各模块和芯片的正常运行,对系统的电压电流采样电路和供电电路进行设计。
(4)对 T 型三电平三相逆变器的并网控制策略和空间矢量调制策略进行软件设计。首先,建立逆变器数学模型,对坐标转换原理进行分析并推导控制解耦过程,设计双闭环 PI 控制系统结构,分别对电压环和电流环的传递函数进行推导并计算 Kp和 Ki 参数。软件设计方面,对 T 型三电平三相逆变器开环和闭环控制的空间矢量调制策略并结合中点电位平衡控制策略进行主程序和中断处理程序的设计。
(5)对 T 型三电平三相逆变器在 MATLAB/Simulink 中进行仿真,添加负载扰动验证双闭环控制策略和中点电位平衡策略效果,通过实验平台测量输出侧相电压和线电压的波形验证 SVPWM 调制策略,通过三相输出电压或电流波形验证硬件参数和电路设计的正确性。对提出的改进型抑制碳化硅(SiC)MOSFET 桥臂串扰的门极驱动电路在 LTSpice 软件上进行仿真,并搭建同步 Buck 变换器双脉冲测试电路进行实验,仿真和实验结果表明提出的新型串扰抑制电路既能良好的抑制桥臂串扰,又能保证开关管的开关速度不受影响,验证本论文的创新点的优越性。
本文的创新内容如下:
提出一种改进型抑制碳化硅(SiC)MOSFET 桥臂串扰的门极驱动电路,对其抑制串扰的工作原理进行详细分析,对并联在开关管栅源极间的电容进行参数设计,搭建仿真和实验平台,分别与传统和典型串扰抑制电路做对比,分析各自对开关器件开关速度的影响和串扰抑制的效果。
6.2 后续研究工作
本次设计的 T 型三电平三相逆变器进行了硬件电路和软件的部分设计,并做了仿真和实验分析。由于本人的时间和学术能力有限,虽然取得了一定的成果,但在系统的设计中还是存在很多不足,有待完善,具体思路如下:
(1)硬件电路在调试过程中发现有干扰,后续需要对 PCB 绘制过程中布局进行考量,降低硬件电路的电磁干扰问题。
(2)针对中点电位平衡控制策略需要进行改进,要求能达到对电流更快的跟踪和控制,从而提高系统的稳定性。
(3)对于提出的改进型抑制碳化硅(SiC)MOSFET 桥臂串扰的门极驱动电路实验,考虑到安全问题和器件成本问题,在直流母线电压为 300V 的前提下进行串扰抑制效果测试,对于更高电压情况下所提出的改进型串扰抑制电路能否优于典型串扰抑制电路还未验证。


谢谢分享