在动力电池模组系统安全设计(四)模组电芯间隙设计中,对电芯间隙和公差计算,大家反馈计算有误。
首先非常抱歉,由于没有仔细核对专利中的数据,给大家带来了困惑,经过这几天详细计算,发现问题还真多。
一、原文问题点
主要是两处:
1、电芯间隙计算:
按照20个电芯计算,算不出来3mm的电芯间隙,按照12个电芯可以算出来。
2、缓冲材料压缩率
按照1.35公差计算,缓冲材料压缩率也不准确,会得出负值,代表缓冲材料没有被压缩到。
二、重新计算间隙:
用20个电芯,21个间隙,计算不出来间隙。
按照12个电芯,13个电芯间隙,可以计算出模组间隙3 mm。
实例计算
Na=1,Ta=±1.5mm;Nb=2,Lb=14mm,Tb=±0.2mm;
Nc=12,Lc=50mm,Tc=±0.3mm,NX=13;
代入公式计算得:

可以得到:模组间隙X=3 mm;
但是如果采用Nx=13公差按照下面公式,

经过计算为Tx = ±0.12mm:
模组间隙X=3±0.12mm,即间隙范围为 2.88mm-3.12mm
三、尺寸链反算
1、电芯间隙反算模组长度
模组长度计算:
La = (Nb*Lb + Nc*Lc + NX*X) / Na
式中:La为模组长度,Lb为端板厚度,Lc为电芯厚度,X为电芯间隙
Na为模组数量,Nb为端板数量,Nc为电芯数量,Nx为间隙数量同缓冲材料数量。
设定同上:
Na=1, Nb=2,Lb=14mm, Nc=12,Lc=50mm, NX=13;
经过计算La=667mm。长度结果同给定值,说明12个电芯设定正确。
2、电芯间隙公差反算模组长度公差
Nb=2,Tb=±0.2mm;Nc=12,Tc=±0.3mm;NX=13,Tx = ±0.12mm;
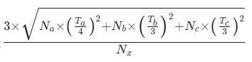
1. 均方根法(统计公差法)公式
基于尺寸正态正态分布假设,总公差为各部件 “数量 × 公差” 的平方和开方。

模组长度公差Ta = 3.94;
2、极值法:
假设所有部件公差同时取极端值,总公差为各部件 “数量 × 公差” 的绝对值之和:

模组长度公差Ta = 5.56。
可以看出即使间隙采用0.12公差,模组长度都保证不了1.5mm。
按照间隙1.35公差,模组长度公差均方根法为17.92 mm,极值法为21.55 mm。
四、压缩率计算
按照原文:Ld=4mm,Td=±0.4mm;Lx=3mm(模组理论间隙),Tx=1.35mm(模组间隙公差)。
模组可能的最大实际间隙:模组间隙+正最大公差=4.35
缓冲材料最小实际尺寸:缓冲材尺寸料 – 公差=3.6
就是说,会出现间隙大于泡棉尺寸,这是有问题的。
按照上文计算:Ld=4mm,Td=±0.4mm;Lx=3mm(模组理论间隙),Tx=0.12mm(模组间隙公差)。
压缩率区间将会是 [13%,35%]。
后面的不进行计算了,大家看看专利流程,吸取思路即可,就不要纠结具体算例了。

