前天在群里面讨论熔断器和接触器的匹配问题,说起来了PyroFuse,群友@一棵树共享了一份奥托立夫Autoliv的PyroFuse的资料《Autoliv PSS Presentation》,感觉挺好的,就打算写一篇对PyroFuse介绍的文章。
如果想要PyroFuse资料,请按照文章末尾方式下载即可,主流的奥托立夫、中熔、伊顿都有。
PyroFuse,Pyroswitch、Pyrotechnical safety switches(PSS)也叫激励熔断器,烟火熔断器、烟火安全开关,Pyro发音paɪroʊ不知道对不对。

一、传统熔断器风险
在动力电池配电盒BDU安全设计(九)熔断器和接触器匹配中讲到,传统熔断器存在保护风险:Pyrofuse的目的就是解决传统熔断器存在熔断时间过长问题。
主要是三个风险:低温情况下的短路、低SoC情况下的短路、绝缘故障。

1、区域1:电流<1000A,继电器承担可靠的分断。
由BMS根据电流传感器值判断是否分断
2、区域2:1000A<电流<2000A,继电器的分断时间仍然比保险丝快,需要继电器承担分断;普通继电器的最大分断电流是2000A。
文中表述上的有些问题,我的理解是,电流1000A时,继电器耐受时间大概为20S,保险丝耐受时间为1000S,什么意思呢?由于继电器和熔断器是串联关系,1000A流过触点超过20S以上,继电器的触点就会出问题,有可能粘连,也有可能烧蚀,而熔断器没有问题。
3、区域3:2000A<电流<3500A,保险丝的分断更快,但是分断时间较长(此时继电器需要保持闭合,否则保险丝所需的熔断能量不足)。
熔断器主要工作区域,熔断时间从0.02-8S之间,此时继电器还在导通,因为此时电流值极大,在电芯或者外部绝缘失效处,存在热失效可能。
区域4:电流>3500A,保险丝承担可靠的分断。
二、PyroFuse应用场景
Pyrofuse可应用高压和低压电路保护,BMS根据采集到的电流传感器和气囊的碰撞传感器信号,进行过流判断或者碰撞判断,决策是否切断电路,现在国内电池包内高压系统已经普遍应用。

三、性能参数
各家都差不多,参数根据整车和电池包情况进行选择即可,选型尽量参考供应商意见吧。
最大分断能力范围:13KA-23.5KA
动作时间:小于2 ms
四、测试
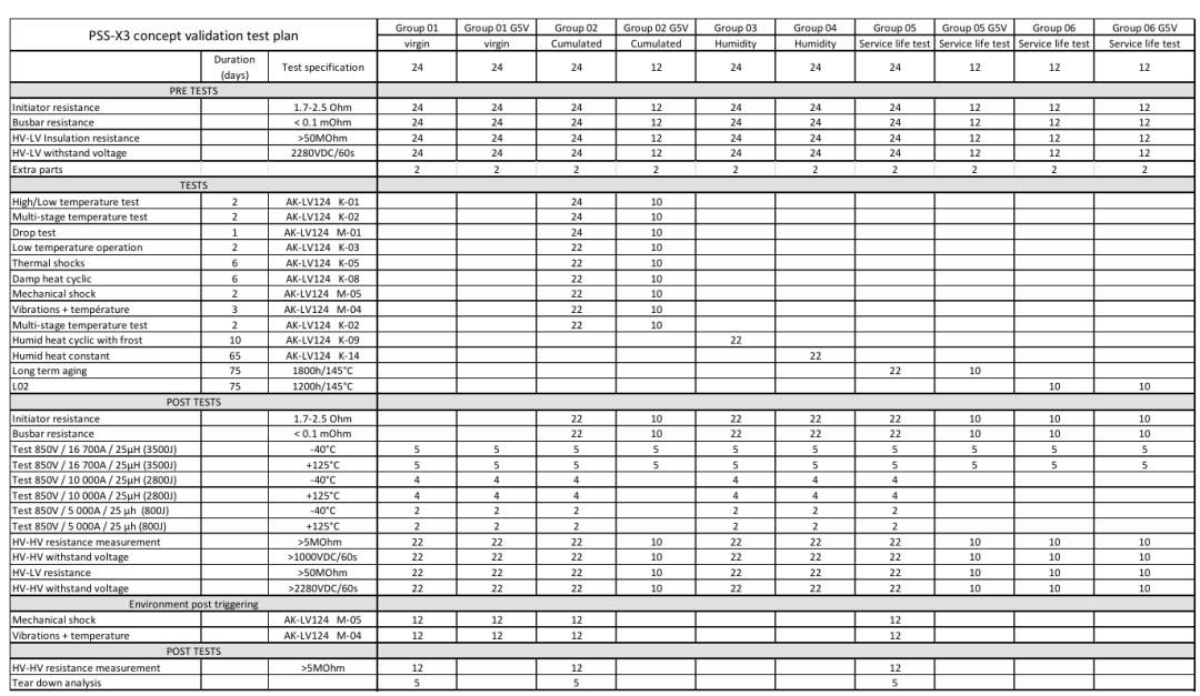
奥托立夫有个分组序列测试,大家感兴趣的话可以看看都做哪些测试。测试矩阵依据的标准是AK-LV124, LV 124在VW8000里面有对应测试方法和条件,试着就给注释了下。同时VW8000也放在共享盘里面了,供大家参考学习。

1、试验前测量:
1)初始阻抗Initiator resistance:1.7-2.5 Ohm
2)母线阻抗Busbar resistance:<0.1 m Ohm
3)绝缘电阻(高压对低压)HV-LV Insulation resistance:>50M Ohm
4)耐压(高压对低压)HV-LV withstand voltage:2280 VDC/ 60s
5)其它Extra parts:
2、试验:
1)高/低温测试High/Low temperature test
2)温度梯度测试Multi-stage temperature test
3)跌落测试Drop test
4)低温工作测试Low temperature operation
5)温度冲击测试Thermal shocks
6)湿热循环测试Damp heat cyclic
7)机械冲击测试Mechanical shock
8)振动+温度综合测试Vibrations + temperature
9)温度梯度测试Multi-stage temperature test
10)湿热循环(冰霜)测试Humid heat cyclic with frost
11)恒定湿热Humid heat constant
12)高温老化Long term aging:1800h/145°C
13)高温老化2 L02:1200h/145°C
3、试验后测量
1)初始阻抗Initiator resistance:1.7-2.5 Ohm
2)母线阻抗Busbar resistance:<0.1 m Ohm
3)高低温熔断能力测试:-40和125°C
4)绝缘电阻(高压对高压)HV-HV Insulation resistance:>5M Ohm
5)耐压(高压对高压)HV-HV withstand voltage:1000 VDC/ 60s
6)绝缘电阻(高压对低压)HV-LV Insulation resistance:>50M Ohm
7)耐压(高压对低压)HV-LV withstand voltage:2280 VDC/ 60s
4、触发后测试Environment post triggering
1)机械冲击Mechanical shock
2)振动+温度综合测试Vibrations + temperature
5、试验后测量
1)绝缘电阻(高压对高压)HV-HV Insulation resistance:>5M Ohm
2)拆解分析Tear down analysis


[…] 动力电池配电盒BDU安全设计(十一)PyroFuse […]