耐久性能测试实际上涉及到一个设计使用寿命的需求和三个加速验证算法。
寿命需求,动力电池一般要求质保8年,设计使用寿命15年,工程计算一般使用设计寿命。
为了便于大家理解,做个了BDU耐久寿命计算模型excel计算表,下载方式在文章末尾,大家自行下载。
一、前置条件
1、典型场景:
乘用车典型的日常工况场景是:每天开车2次,运行1-2个小时(出租车除外),然后基本上就是停放车库或者室外。
2、温度范围:
电池包内部的可能温度范围从-20℃到45℃,BDU可能的温度区间-40℃到85℃。(本文例举的所有数据只是为了方便讲解计算方法,实际项目计算需要实测和统计数据支撑)。
电池包的电器件、结构件除了振动外,还会受到的温度影响,温度也是影响BDU寿命的重要因素,所以需要进行温度的耐久测试,以证明其在15年的设计寿命周期内的可靠性满足要求。
3、设计寿命15年周期内的计算
1)工作次数:
BDU温度循环次数为2*15*365=10950次。
2)工作时长:
BDU运行按照1.5小时计算,总的时长为1.5*15*365=8212.5小时。
为了计算还需要统计不同温度的在运行过程中的时间占比,也叫做温度载荷谱。比如:-40℃,占比5%,20℃,占比15%,40℃,占比30%等等,根据实际工况进行统计。
3)寿命时长:
BDU全生命周期的(包括运行和停放的,主要在停放时间内)总的时长为24*15*365=131400小时,假定电池包内的平均湿度65%,平均温度23%。
二、高温耐久(Arrhenius阿伦尼斯模型)
1、加速倍数和试验时长的计算
可以看到一个15年的汽车,工作时长算到一块大概是8212.5小时,如果24小时不间断测试需要8212.5/24=342天,将近1年,试验周期太长。这就需要用提高测试的温度,来缩短试验时长的方法,进行加速验证。
关键是加速倍数(加速因子的倒数)的计算,这就用到阿伦尼斯模型。

Ttest 是测试的温度,Tfield,i 是上面统计的温度载荷谱,其它均是常量。
用Ttest=130℃,温度载荷谱温度分布设置如下图。

最后计算出来加速倍数为10.2倍,那么正常试验用时8212.5小时的试验,用804小时的高温加速试验就可以验证。
2、高温耐久测试条件
将非工作状态试验样品放入试验箱中,然后将温度调节到130℃,持续时间为805h。测试后,试验样品在标准环境条件下进行恢复,恢复时间应足够使温度达到稳定,至少1h。
3、判定准则:
测试完成后还需进行振动和机械冲击结构性能测试,测试过程中满足振动和机械冲击的测试要求,在完成测试后,BDU应满足基本性能测试要求,BDU内部各零件安装点、铜排连接点力矩衰减不超过30%。
三、高低温冲击耐久(Coffin- Manson模型)
15年内BDU在电池包内高低温循环次数可能为2*15*365=10950次,如果每次测试时间为2小时,试验的总时长将为10950*2/24=912.5天,将近2.5年,也是很不现实。
这就需要用到Coffin- Manson模型,用提高测试温度的方法来加速验证。

计算中设置最高测试温度Tmax=130℃,最低测试温度Tmin=-40℃,测试周期内的温差△Ttest=130℃-(-40℃)=170℃;
△Tfield 根据实际BDU的情况假定为65℃;C常数为2.5,
通过计算可以得出加速倍数ACM =11。
那么高低温加速试验的循环次数:10950/ ACM =10950/ 11=996次。
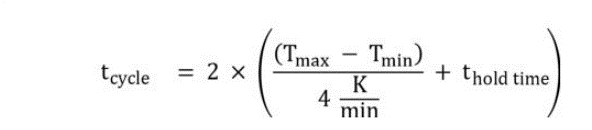
一次循环时间计算按照下面公式:2*(170/4 + 35 )= 155 分钟。

高低温耐久总循环时长为:996*155 / 60=2573小时。
2、高低温耐久测试
将非工作状态试验样品放入试验箱中,最高温度Tmax=130℃,最低温度Tmin=-40℃,温度梯度:4℃/min,暴露时间为35min,一次循环时间为155min,共计进行996个循环,总循环测试时间为2573h。测试后,试验样品在标准环境条件下进行恢复,恢复时间应足够使温度达到稳定,至少1h。
3、判定准则:
测试完成后还需进行振动和机械冲击结构性能测试,测试过程中满足振动和机械冲击的测试要求,在完成测试后,BDU应满足基本性能测试要求,BDU内部各零件安装点、铜排连接点力矩衰减不超过30%。
四、高温高湿耐久(双85测试Lawson劳森模型)
高温高湿试验持续时间的计算,是基于车辆停放时间,以及电池包内部件的平均环境湿度和温度计算。
设定BDU全生命周期的(包括运行和停放的)总的寿命时长为24*15*365=131400小时。
电池包内的平均湿度65%,平均温度23%。(需要根据实际项目定义)。
使用Lawson劳森模型计算加速因子,经过计算得到加速因子为112.6,试验时间为131400/112.6=1167小时。

2、高温高湿耐久测试
将非工作状态试验样品放入试验箱中,在恒定温度T=85℃,相对湿度85%RH环境下,总时间为1167h。测试后,试验样品在标准环境条件下进行恢复,恢复时间应足够使温度达到稳定,至少1h。
3、判定准则:
测试完成后还需进行振动和机械冲击结构性能测试,测试过程中满足振动和机械冲击的测试要求,在完成测试后,BDU应满足基本性能测试要求,BDU内部各零件安装点、铜排连接点力矩衰减不超过30%。
五、常见问题:
1、做过双85测试后,其它的高温、高低温耐久还用做吗?
需要,从前面的分析中,可以看出,三个耐久测试的使用情景不一样。
双85测试是个静态测试,类似日历寿命的测试,高温、高低温耐久是工作状态下不同的两个测试。
2、双85测试1000小时,相当于几年?
反算了一下,电池包内器件差不多12.5年吧,当然,也与现场条件和器件受温度影响特性相关。
为了便于大家理解,做个了BDU的耐久寿命计算模型excel计算表,同时把大众的VW80000(VW80000的附录中有三个算法的详细说明了和部分实例)也放进去共享盘中。


有用,学到了
[…] 方法参考:动力电池配电盒BDU安全设计(十六)耐久性能测试;电池包的Tfield温差设置为35度。 […]