一共174篇文章
专题:第5期
-
铜铝排专题:铜排螺栓连接可靠性失效分析
铜排螺栓连接作为仍广泛应用的电气连接方式,接触电阻极其重要,决定了使用寿命和系统可靠性。 今天将围绕连接电阻如何影响使用寿命展开,从接触效率与寿命的关系、接头失效判断、老化机理、失效过程等方面,系统讲解铜排螺栓连接失效。 一、连接电阻效率与寿命的关系 前文介绍过连接电阻效率,又称为接头性能系数是衡量接头质量、决定使用寿命的关键参数。 1、性能系数(连接效率) k 性能系数(k)指接头电阻(Rj)与…... 彡彡厶厶
- 114
- 0
-
铜铝排专题:铜排螺栓连接电阻影响因素
前面两篇文章介绍了铜排与铜排螺栓连接的接触电阻和连接电阻效率计算,今天继续深入分析铜排螺栓连接电阻的影响因素,以大家方便工程设计时参考。 为了便于理解,今天文章参考资料请大家关注公众号,并回复数字:33,即可得到。 图片来自:浙江人禾电子 一、接触电阻相关特性 1. 电接触与接触电阻构成 电接触特性方面,导体实际表面粗糙不平,铜排搭接时并非整体面接触,而是散布的点接触形式,实际接触面积远小于理论接…... 彡彡厶厶
- 209
- 0
-
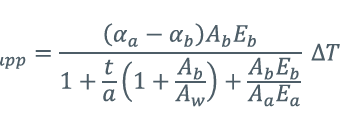
铜铝排专题:铜排螺栓连接电阻效率计算
首先,更正上篇文章的单位mΩ不正确,应该为μΩ,本篇有接触电阻举例计算,请以本篇为准。 一、螺栓选型 1、螺栓选型 铜母排连接中常使用镀锌钢螺栓,但更推荐使用铜合金螺栓(如铝青铜 CW307G)。因为铜合金螺栓的热膨胀系数与铜的热膨胀系数更为接近,有助于维持接触压力的稳定; 此外,铜合金螺栓还能避免异种金属腐蚀问题,在存在强磁场的环境中也更具优势。 不过,由于这些铜合金材料的屈服应力不明显,在紧固…... 彡彡厶厶
- 70
- 0
-
铜铝排专题:铜排与铜排搭接电阻计算
铜排与铜排的连接,还有部分采用螺栓的连接方式,栓接时铜排的重叠长度、螺栓选型、数量,还有搭接面怎么处理,连接电阻都受什么影响?本文将进行初步的探讨。 一、铜排连接概述 铜母排的连接主要分为两类:一类是为将便于运输的短母排,组装成长距离导电母排的直线连接,另一类是为实现电源分配功能的 T 型连接。 无论哪种连接方式,都需要满足以下要求:具备足够的机械强度、抵抗外部环境因素影响、较低的电阻,且电阻值能…... 彡彡厶厶
- 108
- 0
-
铜铝排专题:铜铝排全自动条料成型
传统铝排加工生产是先折弯后加工(剥皮、冲孔、焊接)的顺序,又叫做卷料工序,由于折弯后产品异形操作不方便。 剥皮、冲孔、焊接的加工难度较大,造成整体产线效率不高,需要大量人工(30人左右),这就迫切需要设备厂家进行工艺优化,并提供整套自动化方案。 一、自动生产方案 针对行业难点,深圳市凝创机械设备有限公司优化工序为 “先加工后折弯” 的直条料工序,利用直条料 “好定位、好加工、好夹持” 的特性提升效…... 彡彡厶厶
- 68
- 0
-
铜铝排专题:铜排腐蚀和盐雾试验
文章留言,铜排在中性盐雾试验后,颜色是红锈吗? 铁镀锌进行盐雾试验时,白锈是因为镀层生锈,红锈是基材铁生锈,表示严重腐蚀了。 这几天查了下资料,镀锡和镀镍盐雾腐蚀后不一样,下面讲解给大家参考。 一、裸铜的腐蚀 当铜排暴露在空气中时,表面首先会发生氧化反应,生成红棕色的氧化铜(CuO)。 因为环境中存在二氧化碳和水蒸气,氧化铜会进一步与CO₂和H₂O反应,形成绿色的碱式碳酸铜(Cu₂(OH)₂CO₃…... 彡彡厶厶
- 46
- 0
-
铜铝排专题:漆包铝排
众所周知漆包扁线在电机中应用,其实在电池包内,PI漆包铝排也有量产应用,今天就介绍下漆包铝排。 一、什么是漆包铝排? 漆包铝排同挤塑、浸塑、浸粉一样,在裸排表面经多次涂漆、烘焙、冷却后形成一种带绝缘层的铝排。 漆包铜、漆包铝扁线早期大多在大中型电机、电器和变压器等设备的绕组中使用。 由于漆包铝排价格高于挤塑铝排,在电池包内很少使用,但随着漆包铝排生产工艺完善,成品率大幅度提升,生产成本下降了很多,…... 彡彡厶厶
- 5
- 0
-
铜铝排专题:软铜排技术要求和测试标准
在软铜排开发不同阶段,需要提出技术要求和测试标准,今天总结了下,供大家根据不同项目进行参考。 一、外观 表面质量: 整体:表面应光洁,无明显油污、腐蚀、斑点,凹凸、折痕、残缺、锈蚀、污渍、飞边、指纹、打磨痕迹等残缺,无明显伤痕。; 热压后如果产品钝化处理,不允许损坏纯镍片,热压区不得有凸起、凹坑及明显划痕。 热缩套管为橙色,且无破损,铜排贴合良好。 测试方法: 采用目测法,可通过 10 倍放大镜辅…... 彡彡厶厶
- 216
- 0
-
铜铝排专题:软铜排的扩散焊接及自动化加工
铜铝排专题:软铜排的扩散焊接及自动化加工 上篇文章介绍了软铜铝排的加工工艺,可以看出软铜排加工的核心是高分子扩散焊接。 本文继续讲解软铜排知识,首先软铜排扩散焊接原理,然后介绍自动化生产设备。 图片来自:无锡海菲智能装备 一、高分子扩散焊接原理 1、扩散焊定义: 扩散焊(DFW)是一种固相焊接方法,核心在真空或保护气氛环境中,是将待焊工件紧密贴合,加热至母材熔点以下温度,并施加压力,经一定时间的保…... 彡彡厶厶
- 203
- 0
-
铜铝排专题:软铜排的加工
软铜排现在大量应用于电池包内,价格通常是硬铜排的 1.5到2 倍左右,为什么这么贵呢,原因就是它的加工比硬铜排复杂,今天就把软铜排加工这一块讲述一下。 一、为什么要用软铜排? 1、电池包内: 首先硬铜排无法适合紧凑空间的多次折弯,另外软铜排可折弯补偿母线长度过长带来的尺寸公差,相当于电缆长度预留,便于装配; 2、储能系统: 承载交流200-800A 大电流时,多层铜箔通过集肤效应可以提升载流效率;…... 彡彡厶厶
- 22
- 0
-
铜铝排专题:万万没有想到,镀锡比镀镍贵,局部电镀比全镀还贵!
今天先讲讲铜排电镀价格上面的两个事情,一个是:镀锡比镀镍,另外一个是:局部电镀比全镀还贵。 然后介绍下铜排常用的电镀方式:连续镀、挂镀、滚镀。 一、镀锡比镀镍贵 首先抱歉,昨天的文章里面写到,镀镍比镀锡贵,实际上却是相反的,现在镀锡比镀镍要贵。 先看看金属价格,镍的期货价格,这两年,镍的价格在相对的低位。 但是,锡的价格相对是上升期,现在锡的价格大约是镍的2倍左右还多。 二、局部电镀比全镀更贵? …... 彡彡厶厶
- 34
- 0
-
铜铝排专题:铜排钝化、镀锡、镀镍,电池包中怎么选?
周五在群里面讨论电池包中铜排的表面处理方式,提到了钝化; 现在在铜排电池包内使用的场合就两个了,BDU内的铜排和母线铜排,那这些铜排到底采用镀锡、镀镍还是钝化方式处理呢? 一、铜排钝化 1、铜排钝化是电镀工艺吗? 钝化不是电镀工艺: 钝化是化学转化工艺,无需通电,只是通过铜排表面金属与无铬钝化剂(含钛、锆等成分)发生化学反应,膜层不导电,目的是防氧化; 电镀是电化学沉积工艺,需依赖稳定直流电源,通…... 彡彡厶厶
- 103
- 0

























