-
铜铝排专题:铜排螺栓连接可靠性失效分析
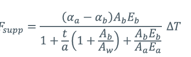
铜排螺栓连接作为仍广泛应用的电气连接方式,接触电阻极其重要,决定了使用寿命和系统可靠性。 今天将围绕连接电阻如何影响使用寿命展开,从接触效率与寿命的关系、接头失效判断、老化机理、失效过程等方面,系统讲解铜排螺栓连接失效。 一、连接电阻效率与寿命的关系 前文介绍过连接电阻效率,又称为接头性能系数是衡量接头质量、决定使用寿命的关键参数。 1、性能系数(连接效率) k 性能系数(k)指接头电阻(Rj)与…... 彡彡厶厶
- 0
- 2
- 114
-
铜铝排专题:铜排螺栓连接电阻影响因素
前面两篇文章介绍了铜排与铜排螺栓连接的接触电阻和连接电阻效率计算,今天继续深入分析铜排螺栓连接电阻的影响因素,以大家方便工程设计时参考。 为了便于理解,今天文章参考资料请大家关注公众号,并回复数字:33,即可得到。 图片来自:浙江人禾电子 一、接触电阻相关特性 1. 电接触与接触电阻构成 电接触特性方面,导体实际表面粗糙不平,铜排搭接时并非整体面接触,而是散布的点接触形式,实际接触面积远小于理论接…... 彡彡厶厶
- 0
- 0
- 209
-
铜铝排专题:铜排螺栓连接电阻效率计算
首先,更正上篇文章的单位mΩ不正确,应该为μΩ,本篇有接触电阻举例计算,请以本篇为准。 一、螺栓选型 1、螺栓选型 铜母排连接中常使用镀锌钢螺栓,但更推荐使用铜合金螺栓(如铝青铜 CW307G)。因为铜合金螺栓的热膨胀系数与铜的热膨胀系数更为接近,有助于维持接触压力的稳定; 此外,铜合金螺栓还能避免异种金属腐蚀问题,在存在强磁场的环境中也更具优势。 不过,由于这些铜合金材料的屈服应力不明显,在紧固…... 彡彡厶厶
- 0
- 0
- 70
-
铜铝排专题:铜排与铜排搭接电阻计算
铜排与铜排的连接,还有部分采用螺栓的连接方式,栓接时铜排的重叠长度、螺栓选型、数量,还有搭接面怎么处理,连接电阻都受什么影响?本文将进行初步的探讨。 一、铜排连接概述 铜母排的连接主要分为两类:一类是为将便于运输的短母排,组装成长距离导电母排的直线连接,另一类是为实现电源分配功能的 T 型连接。 无论哪种连接方式,都需要满足以下要求:具备足够的机械强度、抵抗外部环境因素影响、较低的电阻,且电阻值能…... 彡彡厶厶
- 0
- 0
- 108
-
铜铝排专题:铜铝排全自动条料成型
传统铝排加工生产是先折弯后加工(剥皮、冲孔、焊接)的顺序,又叫做卷料工序,由于折弯后产品异形操作不方便。 剥皮、冲孔、焊接的加工难度较大,造成整体产线效率不高,需要大量人工(30人左右),这就迫切需要设备厂家进行工艺优化,并提供整套自动化方案。 一、自动生产方案 针对行业难点,深圳市凝创机械设备有限公司优化工序为 “先加工后折弯” 的直条料工序,利用直条料 “好定位、好加工、好夹持” 的特性提升效…... 彡彡厶厶
- 0
- 2
- 68
-
铜铝排专题:铜排腐蚀和盐雾试验
文章留言,铜排在中性盐雾试验后,颜色是红锈吗? 铁镀锌进行盐雾试验时,白锈是因为镀层生锈,红锈是基材铁生锈,表示严重腐蚀了。 这几天查了下资料,镀锡和镀镍盐雾腐蚀后不一样,下面讲解给大家参考。 一、裸铜的腐蚀 当铜排暴露在空气中时,表面首先会发生氧化反应,生成红棕色的氧化铜(CuO)。 因为环境中存在二氧化碳和水蒸气,氧化铜会进一步与CO₂和H₂O反应,形成绿色的碱式碳酸铜(Cu₂(OH)₂CO₃…... 彡彡厶厶
- 0
- 0
- 46
-
铜铝排专题:漆包铝排
众所周知漆包扁线在电机中应用,其实在电池包内,PI漆包铝排也有量产应用,今天就介绍下漆包铝排。 一、什么是漆包铝排? 漆包铝排同挤塑、浸塑、浸粉一样,在裸排表面经多次涂漆、烘焙、冷却后形成一种带绝缘层的铝排。 漆包铜、漆包铝扁线早期大多在大中型电机、电器和变压器等设备的绕组中使用。 由于漆包铝排价格高于挤塑铝排,在电池包内很少使用,但随着漆包铝排生产工艺完善,成品率大幅度提升,生产成本下降了很多,…... 彡彡厶厶
- 0
- 0
- 5
-
铜铝排专题:软铜排技术要求和测试标准
在软铜排开发不同阶段,需要提出技术要求和测试标准,今天总结了下,供大家根据不同项目进行参考。 一、外观 表面质量: 整体:表面应光洁,无明显油污、腐蚀、斑点,凹凸、折痕、残缺、锈蚀、污渍、飞边、指纹、打磨痕迹等残缺,无明显伤痕。; 热压后如果产品钝化处理,不允许损坏纯镍片,热压区不得有凸起、凹坑及明显划痕。 热缩套管为橙色,且无破损,铜排贴合良好。 测试方法: 采用目测法,可通过 10 倍放大镜辅…... 彡彡厶厶
- 0
- 0
- 216
-
铜铝排专题:软铜排的扩散焊接及自动化加工
铜铝排专题:软铜排的扩散焊接及自动化加工 上篇文章介绍了软铜铝排的加工工艺,可以看出软铜排加工的核心是高分子扩散焊接。 本文继续讲解软铜排知识,首先软铜排扩散焊接原理,然后介绍自动化生产设备。 图片来自:无锡海菲智能装备 一、高分子扩散焊接原理 1、扩散焊定义: 扩散焊(DFW)是一种固相焊接方法,核心在真空或保护气氛环境中,是将待焊工件紧密贴合,加热至母材熔点以下温度,并施加压力,经一定时间的保…... 彡彡厶厶
- 0
- 0
- 203
-
铜铝排专题:软铜排的加工
软铜排现在大量应用于电池包内,价格通常是硬铜排的 1.5到2 倍左右,为什么这么贵呢,原因就是它的加工比硬铜排复杂,今天就把软铜排加工这一块讲述一下。 一、为什么要用软铜排? 1、电池包内: 首先硬铜排无法适合紧凑空间的多次折弯,另外软铜排可折弯补偿母线长度过长带来的尺寸公差,相当于电缆长度预留,便于装配; 2、储能系统: 承载交流200-800A 大电流时,多层铜箔通过集肤效应可以提升载流效率;…... 彡彡厶厶
- 0
- 1
- 22
-
铜铝排专题:万万没有想到,镀锡比镀镍贵,局部电镀比全镀还贵!
今天先讲讲铜排电镀价格上面的两个事情,一个是:镀锡比镀镍,另外一个是:局部电镀比全镀还贵。 然后介绍下铜排常用的电镀方式:连续镀、挂镀、滚镀。 一、镀锡比镀镍贵 首先抱歉,昨天的文章里面写到,镀镍比镀锡贵,实际上却是相反的,现在镀锡比镀镍要贵。 先看看金属价格,镍的期货价格,这两年,镍的价格在相对的低位。 但是,锡的价格相对是上升期,现在锡的价格大约是镍的2倍左右还多。 二、局部电镀比全镀更贵? …... 彡彡厶厶
- 0
- 0
- 34
-
铜铝排专题:铜排钝化、镀锡、镀镍,电池包中怎么选?
周五在群里面讨论电池包中铜排的表面处理方式,提到了钝化; 现在在铜排电池包内使用的场合就两个了,BDU内的铜排和母线铜排,那这些铜排到底采用镀锡、镀镍还是钝化方式处理呢? 一、铜排钝化 1、铜排钝化是电镀工艺吗? 钝化不是电镀工艺: 钝化是化学转化工艺,无需通电,只是通过铜排表面金属与无铬钝化剂(含钛、锆等成分)发生化学反应,膜层不导电,目的是防氧化; 电镀是电化学沉积工艺,需依赖稳定直流电源,通…... 彡彡厶厶
- 0
- 0
- 103
-
铜铝排专题:铜是新石油吗?
高盛最新的《人工智能与国防使电网成为能源安全核心》报告指出,美国能源安全核心已从原油、页岩油等传统领域转向电网,由于容量有限,随着 AI 技术爆炸式应用,电网将成为能源安全的薄弱环节。 电网升级将会推动全球铜的需求激增 60%,铜将成为 “新石油”,这一趋势,反映到价格上就是铜的涨价。 在新能源汽车高压系统中,铜由于优异的导电性,现在依然是充电和电池包母排的核心材料; 铜铝排的设计和加工,不同绝缘…... 彡彡厶厶
- 0
- 1
- 17
-
铜铝排专题:为什么不推荐铜排载流量计算
网上有篇《铜排温升及载流量计算》的文章,前面电池包温升部分借用《铜铝排专题:温升》的电池包温升内容,后面却给出了低压柜内铜排载流量如何确定。 大家经常看公众号文章应该知道,公众号不建议在电池包铜排选型时,采用铜排截面积计算载流量。 一、传统载流量计算 在新能源汽车电池包设计中,铜排现在还是电池包高压母线的主要部件,载流能力的准确评估直接关系到整车安全。 然而,铜排选型时仍存在一种误区:以铜排截面积…... 彡彡厶厶
- 0
- 0
- 28
-
铜铝排专题:浸粉、挤塑、浸塑怎么高效去皮?
后台不少朋友问:去皮机能否剥离浸粉铜排的绝缘层?咨询机械及激光去皮机厂家,答案均为 “不能”。 一、浸粉为什么难去皮? 其实回想下,在《铜铝排专题:浸粉》和《铜铝排专题:绝缘材料怎么选?》中已经说明过了,浸粉采用的是环氧树脂粉,环氧树脂属于热固性塑料; 热固性塑料特性就是,首次加热时可软化塑形,但是在固化成型后,再次加热不会软化或熔融了,就无法进行二次加工了,包括去除绝缘外皮。 如果需要铜铝排两端…... 彡彡厶厶
- 0
- 0
- 42
-
铜铝排专题:铝排挤塑结合利器 — 激光毛化
一、激光毛化是什么? 激光毛化是通过激光束的高能量对铝排表面进行处理的清洗技术。 原理: 利用脉冲激光、连续激光的高能量作用于铝排表面,使表面局部区域瞬间熔融并迅速冷却,从而在铝排形成均匀分布的微小孔隙、凹槽或毛状结构。 激光毛化通过调节激光参数(如入射角、脉冲频率、能量密度),可以控制铝排表面纹理的形状(比如点、线、交叉网格等形状)、尺寸(直径 / 宽度 1nm 至 1mm)和密度。 所以,激光…... 彡彡厶厶
- 0
- 0
- 13
-
铜铝排专题:超声波扭矩焊
铝排与导电铜环的焊接是铝排应用的关键工艺,其核心需求是高强度接头、低电阻导电、高量产一致性。 超声波扭矩焊凭借对 “异种金属 + 环形结构” 的精准适配,成为该场景的优选技术方案。 艾默生必能信的超声波扭矩焊视频: 一、铝排导电铜环的焊接难点 铝排(导体载体)与导电铜环(电流传导 / 换向部件)的焊接存在两大核心挑战,而超声波扭矩焊恰好针对性解决: 1、异种金属焊接难题: 铝与铜的物理性质差异极…... 彡彡厶厶
- 0
- 0
- 19
-
铜铝排专题:铝排端子导电铜环方案讨论和总结
上期发表后大家对TELSONIC方案有些迷惑,特别是其中的第一个方案。 铜铝排专题:铝排端子导电铜环细节详述 这两天查询了资料,考虑了一下,先就TELSONIC方案进行讨论,不一定是标准答案啊,欢迎大家讨论。然后,又找了几家的导电铜环方案,供大家参考。 一、TELSONIC方案探讨 第一个方案铝排和铜端子直接接触,群友感觉这样方式会有问题,考虑了一下,铝排和铜端子直接相连,此处铝排会很快氧化,铝排…... 彡彡厶厶
- 0
- 1
- 24
-
铜铝排专题:铝排端子导电铜环细节详述
昨天铝排端子的导电铜环方案文章发布来后,大家都比较感兴趣,希望能了解到更多的信息,今天就把导电铜环的细节给解析一下。 图片来自:必能信 一、TELSONIC方案简述 1、专利基本信息: 该专利由 TELSONIC HOLDING AG 公司于 2023 年申请,国际公布号为 WO 2025/031571 A1。主要涉及连接元件、接触装置及制造接触装置的方法,旨在解决电动汽车领域中铝排与触点连接时出…... 彡彡厶厶
- 0
- 1
- 9
-
铜铝排专题:铝排端子导电铜环转接方案
一、铝排在新能源汽车应用 特斯拉、宝马和福特等公司正在推动电池组外铝排母线的使用。2022年,全球技术公司 APTIV 安波福以约6亿美元的价格收购了意大利公司Intercable,积极寻求利用母线排在电池组外进行高功率配电。 宝马是其前三大客户之一,也显示出强烈的需求新的配电方式的迹象,在美国和欧洲,包括国内其他公司也正在开发的铝排母线。 图片来源:上海展览会TE泰科展示 二、铝排在捷豹F-Ty…... 彡彡厶厶
- 0
- 0
- 5
-
铜铝排专题:铝排与连接器端子连接
铝代铜大势所趋,在车上怎么更好的应用铝排,现在是个紧要的课题。 首先在新能源汽车应用的是充电线束,在充电插座端和电池包端,一般连接器的端子采用紫铜镀银,为了装卸和维修方便,大都采用螺栓连接的方式,能不能在铝排上直接用螺栓压紧端子呢?如果不能,铝排的端部怎么处理,还真是个大问题。 一、铝铜端子螺栓连接在大电流下的问题 在大电流(数百至数千安培)工况下,铝镀镍与铜镀银通过螺栓压紧连接时,隐患会因电流与…... 彡彡厶厶
- 0
- 0
- 139
-
铜铝排专题:铜排铝排浸粉异同
群里面有铝排浸粉的产品需求,可是回应的不多,群里面铜排浸粉和浸塑厂家不少呢,难道铜排浸粉和铝排浸粉不一样吗?就询问了一下,果然两者还真是不一样。 铝排与铜排的浸粉工艺虽同属粉末涂覆技术,但因铜铝金属特性的差异,在工艺细节还是有区别的。 一、金属特性差异及影响 铝表面氧化易形成疏松的 Al₂O₃膜,附着力差,且裸铝耐潮湿、酸碱能力弱,对涂层防护依赖度高;其材质较活泼,预处理时需严格控制药剂浓度和时间…... 彡彡厶厶
- 0
- 0
- 24
-
铜铝排专题:立弯和平弯等问题讨论和机械剥皮机
本周主要把特斯拉充电用的铝棒和国内使用的铝排进行了分析,并介绍了进行铝排加工必不可少的工具:折弯机和剥皮机械。 今天集中讨论留言区和群内的典型问题,,并补充机械剥皮机内容。 一、立弯、平弯概念讨论 1、问题点: 在《铜铝排专题:铝排折弯》发布后,就有不同的意见反馈,讨论立弯和平弯是不是反了,图1应该是平弯,图2应该是立弯。 原文内容如下: 立弯(窄面弯曲): 是充电口附近的常用方式,适用于水平方向…... 彡彡厶厶
- 0
- 1
- 21
-
铜铝排专题:铜铝排剥皮
铜铝排作为电气设备中常用的导电材料,其表面通常会有绝缘层(如漆膜、氧化层或包裹的绝缘材料),在连接或加工前需要进行剥皮处理。 图片来源:苏州胜禹 以下介绍铜铝排的常见剥皮方式及对应的设备: 一、铜铝排常见剥皮方式 根据铜铝排的规格(厚度、宽度)、绝缘层类型及加工精度要求,剥皮方式主要分为机械剥皮、化学剥皮、热剥法和激光剥皮四大类: 1. 机械剥皮 通过物理切削、磨削或挤压等方式去除绝缘层,是工业中…... 彡彡厶厶
- 0
- 1
- 36















































